心理学报 ›› 2026, Vol. 58 ›› Issue (3): 516-533.doi: 10.3724/SP.J.1041.2026.0516 cstr: 32110.14.2026.0516
收稿日期:2025-03-31
发布日期:2025-12-26
出版日期:2026-03-25
通讯作者:
李燕芳, E-mail: Liyanfang@bnu.edu.cn作者简介:朱娜平和张霞同为第一作者。
基金资助:
ZHU Naping, ZHANG Xia, ZHOU Jie, LI Yanfang(
)
Received:2025-03-31
Online:2025-12-26
Published:2026-03-25
摘要:
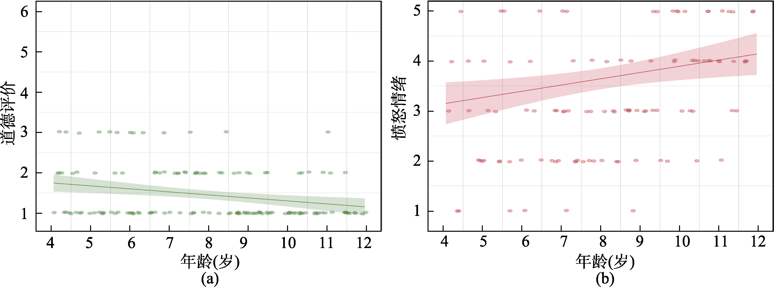
第三方干预是维系群体合作的有效手段。本研究通过两个实验, 考察4~11岁儿童在“不贡献劳动”与“不贡献物质”两种违反合作规范的情境下, 对“搭便车”行为(指个体在不付出成本的情况下享受他人贡献带来的收益)的道德评价、愤怒情绪、干预偏好及内在动机。结果发现: (1)儿童普遍对“搭便车”行为持消极评价, 并表现出愤怒情绪; (2) 4岁起儿童就能够实施干预, 且随年龄增长表现出从奖励合作者逐渐转向惩罚“搭便车者”的干预偏好, 转折年龄分别在6岁左右(不贡献劳动)和8岁左右(不贡献物质); (3)儿童奖励合作者的内在动机表现为道义动机与结果动机并存, 而惩罚“搭便车者”的内在动机则由两种动机并存逐渐发展为在6岁以后以结果动机为主。研究表明, 儿童早期已经能够对合作规范违反行为做出道德判断和第三方干预行为, 干预策略呈现从奖励积极到惩罚消极的跨情境稳定性, 但两种干预方式的内在动机具有特异性。
中图分类号:
朱娜平, 张霞, 周杰, 李燕芳. (2026). 群体合作规范违反情境中儿童第三方干预偏好的发展及内在动机. 心理学报, 58(3), 516-533.
ZHU Naping, ZHANG Xia, ZHOU Jie, LI Yanfang. (2026). The development and motivations of children’s third-party intervention preference in group cooperation norm violation. Acta Psychologica Sinica, 58(3), 516-533.
| 年龄(岁) | 干预 | 不干预 | |
|---|---|---|---|
| 奖励 | 惩罚 | ||
| 4 | 11(61.11) | 6(33.33) | 1(5.56) |
| 5 | 5(33.33) | 8(53.33) | 2(13.33) |
| 6 | 9(50.00) | 8(44.44) | 1(5.56) |
| 7 | 6(33.33) | 12(66.67) | 0(0.00) |
| 8 | 4(22.22) | 13(72.22) | 1(5.56) |
| 9 | 2(10.53) | 16(84.21) | 1(5.26) |
| 10 | 1(5.56) | 17(94.44) | 0(0.00) |
| 11 | 0(0.00) | 14(82.35) | 3(17.65) |
| 合计 | 38(26.95) | 94(66.67) | 9(6.38) |
表1 贡献劳动的群体合作规范违反情境中儿童干预行为的描述性统计(%)
| 年龄(岁) | 干预 | 不干预 | |
|---|---|---|---|
| 奖励 | 惩罚 | ||
| 4 | 11(61.11) | 6(33.33) | 1(5.56) |
| 5 | 5(33.33) | 8(53.33) | 2(13.33) |
| 6 | 9(50.00) | 8(44.44) | 1(5.56) |
| 7 | 6(33.33) | 12(66.67) | 0(0.00) |
| 8 | 4(22.22) | 13(72.22) | 1(5.56) |
| 9 | 2(10.53) | 16(84.21) | 1(5.26) |
| 10 | 1(5.56) | 17(94.44) | 0(0.00) |
| 11 | 0(0.00) | 14(82.35) | 3(17.65) |
| 合计 | 38(26.95) | 94(66.67) | 9(6.38) |
| 奖励合作者 | 惩罚“搭便车者” | |
|---|---|---|
| 结果动机 | “你选择‘再给小红和小绿每人1个金币’, 是希望小红和小绿以后能继续这样做吗?” | “你选择‘拿走小黄和小蓝分得的金币’, 是希望小黄和小蓝以后不要这样做吗?” |
| 道义动机 | “你选择‘再给小红和小绿每人1个金币’, 是觉得小红和小绿应该得到奖励吗?” | “你选择‘拿走小黄和小蓝分得的金币’, 是觉得小黄和小蓝应该受到惩罚吗?” |
表2 认同性评价任务中结果动机和道义动机的指导语
| 奖励合作者 | 惩罚“搭便车者” | |
|---|---|---|
| 结果动机 | “你选择‘再给小红和小绿每人1个金币’, 是希望小红和小绿以后能继续这样做吗?” | “你选择‘拿走小黄和小蓝分得的金币’, 是希望小黄和小蓝以后不要这样做吗?” |
| 道义动机 | “你选择‘再给小红和小绿每人1个金币’, 是觉得小红和小绿应该得到奖励吗?” | “你选择‘拿走小黄和小蓝分得的金币’, 是觉得小黄和小蓝应该受到惩罚吗?” |
| 年龄(岁) | 干预 | 不干预 | |
|---|---|---|---|
| 奖励 | 惩罚 | ||
| 4 | 7(50.00) | 2(14.29) | 5(35.71) |
| 5 | 14(66.67) | 5(23.81) | 2(9.52) |
| 6 | 6(50.00) | 2(16.67) | 4(33.33) |
| 7 | 2(16.67) | 6(50.00) | 4(33.33) |
| 8 | 6(35.29) | 8(47.06) | 3(17.65) |
| 9 | 2(14.29) | 10(71.43) | 2(14.29) |
| 10 | 8(42.11) | 11(57.89) | 0(0.00) |
| 11 | 7(43.75) | 8(50.00) | 1(6.25) |
| 合计 | 52(41.60) | 52(41.60) | 21(16.80) |
表3 贡献物质的群体合作规范违反情境中儿童干预行为的描述性统计(%)
| 年龄(岁) | 干预 | 不干预 | |
|---|---|---|---|
| 奖励 | 惩罚 | ||
| 4 | 7(50.00) | 2(14.29) | 5(35.71) |
| 5 | 14(66.67) | 5(23.81) | 2(9.52) |
| 6 | 6(50.00) | 2(16.67) | 4(33.33) |
| 7 | 2(16.67) | 6(50.00) | 4(33.33) |
| 8 | 6(35.29) | 8(47.06) | 3(17.65) |
| 9 | 2(14.29) | 10(71.43) | 2(14.29) |
| 10 | 8(42.11) | 11(57.89) | 0(0.00) |
| 11 | 7(43.75) | 8(50.00) | 1(6.25) |
| 合计 | 52(41.60) | 52(41.60) | 21(16.80) |
| 年龄(岁) | 奖励 | 惩罚 | ||
|---|---|---|---|---|
| 道义动机 | 结果动机 | 道义动机 | 结果动机 | |
| 4 | 3(42.86) | 4(57.14) | 2(100.00) | 0(0.00) |
| 5 | 6(42.86) | 8(57.14) | 2(40.00) | 3(60.00) |
| 6 | 5(83.33) | 1(16.67) | 0(0.00) | 2(100.00) |
| 7 | 1(50.00) | 1(50.00) | 1(16.67) | 5(83.33) |
| 8 | 6(100.00) | 0(0.00) | 0(0.00) | 8(100.00) |
| 9 | 1(50.00) | 1(50.00) | 2(20.00) | 8(80.00) |
| 10 | 5(62.50) | 3(37.50) | 0(0.00) | 11(100.00) |
| 11 | 4(57.14) | 3(42.86) | 1(12.50) | 7(87.50) |
| 合计 | 31(59.62) | 21(40.38) | 8(15.38) | 44(84.62) |
表4 贡献物质的群体合作规范违反情境中儿童奖励或惩罚的动机表现情况(%)
| 年龄(岁) | 奖励 | 惩罚 | ||
|---|---|---|---|---|
| 道义动机 | 结果动机 | 道义动机 | 结果动机 | |
| 4 | 3(42.86) | 4(57.14) | 2(100.00) | 0(0.00) |
| 5 | 6(42.86) | 8(57.14) | 2(40.00) | 3(60.00) |
| 6 | 5(83.33) | 1(16.67) | 0(0.00) | 2(100.00) |
| 7 | 1(50.00) | 1(50.00) | 1(16.67) | 5(83.33) |
| 8 | 6(100.00) | 0(0.00) | 0(0.00) | 8(100.00) |
| 9 | 1(50.00) | 1(50.00) | 2(20.00) | 8(80.00) |
| 10 | 5(62.50) | 3(37.50) | 0(0.00) | 11(100.00) |
| 11 | 4(57.14) | 3(42.86) | 1(12.50) | 7(87.50) |
| 合计 | 31(59.62) | 21(40.38) | 8(15.38) | 44(84.62) |
| [1] |
Arini R. L., Mahmood M., Bocarejo Aljure J., Ingram, G. P. D., Wiggs L., & Kenward B. (2023). Children endorse deterrence motivations for third-party punishment but derive higher enjoyment from compensating victims. Journal of Experimental Child Psychology, 230, 105630.
doi: 10.1016/j.jecp.2023.105630 URL |
| [2] |
Arini R. L., Wiggs L., & Kenward B. (2021). Moral duty and equalization concerns motivate children’s third-party punishment. Developmental Psychology, 57(8), 1325-1341.
doi: 10.1037/dev0001191 pmid: 34591575 |
| [3] |
Balliet D., Mulder L. B., & Van Lange P. A. M.(2011). Reward, punishment, and cooperation: A meta-analysis. Psychological Bulletin, 137(4), 594-615.
doi: 10.1037/a0023489 pmid: 21574679 |
| [4] | Bandura A., & Huston A. C. (1961). Identification as a process of incidental learning. Journal of Abnormal & Social Psychology, 63(2), 311-318. |
| [5] |
Berndt T. J., & Berndt E. G. (1975). Children’s use of motives and intentionality in person perception and moral judgement. Child Development, 46(4), 904-912.
pmid: 1201668 |
| [6] |
Bregant J., Shaw A., & Kinzler K. D. (2016). Intuitive jurisprudence: Early reasoning about the functions of punishment. Journal of Empirical Legal Studies, 13(4), 693-717.
doi: 10.1111/jels.2016.13.issue-4 URL |
| [7] |
Carlo G., McGinley M., Hayes R., Batenhorst C., & Wilkinson J. (2007). Parenting styles or practices? Parenting, sympathy, and prosocial behaviors among adolescents. The Journal of Genetic Psychology, 168(2), 147-176.
doi: 10.3200/GNTP.168.2.147-176 URL |
| [8] |
Carlsmith K. M., Darley J. M., & Robinson P. H. (2002). Why do we punish? Deterrence and just deserts as motives for punishment. Journal of Personality and Social Psychology, 83(2), 284-299.
doi: 10.1037/0022-3514.83.2.284 pmid: 12150228 |
| [9] |
Carlsmith K. M. (2006). The roles of retribution and utility in determining punishment. Journal of Experimental Social Psychology, 42(4), 437-451.
doi: 10.1016/j.jesp.2005.06.007 URL |
| [10] |
Crockett M. J., Özdemir Y., & Fehr E. (2014). The value of vengeance and the demand for deterrence. Journal of Experimental Psychology: General, 143(6), 2279-2286.
doi: 10.1037/xge0000018 URL |
| [11] |
Delton A. W., Cosmides L., Guemo M., Robertson T. E., & Tooby J. (2012). The psychosemantics of free riding: Dissecting the architecture of a moral concept. Journal of Personality and Social Psychology, 102(6), 1252-1270.
doi: 10.1037/a0027026 pmid: 22268815 |
| [12] |
Dunlea J. P., & Heiphetz L. (2020). Children’s and adults’ understanding of punishment and the criminal justice system. Journal of Experimental Social Psychology, 87, 103913.
doi: 10.1016/j.jesp.2019.103913 URL |
| [13] |
Dunlea J. P., & Heiphetz L. (2021). Children’s and adults’ views of punishment as a path to redemption. Child Development, 92(4), e398-e415.
doi: 10.1111/cdev.13475 pmid: 33462800 |
| [14] |
Faul F., Erdfelder E., Buchner A., & Lang A. G. (2009). Statistical power analyses using G*Power 3.1: Tests for correlation and regression analyses. Behavior Research Methods, 41(4), 1149-1160.
doi: 10.3758/BRM.41.4.1149 pmid: 19897823 |
| [15] |
Fehr E., & Gächter S. (2002). Altruistic punishment in humans. Nature, 415(6868), 137-140.
doi: 10.1038/415137a |
| [16] | Fehr E., & Fischbacher U. (2004). Third-party punishment and social norms. Evolution & Human Behavior, 25(2), 63-87. |
| [17] | Fehr E., & Williams T. (2018). Social norms, endogenous sorting and the culture of cooperation. Social Science Electronic Publishing. |
| [18] |
Geraci A., & Surian L. (2021). Toddlers’ expectations of third-party punishments and rewards following an act of aggression. Aggressive Behavior, 47(5), 521-529.
doi: 10.1002/ab.v47.5 URL |
| [19] |
Gray K., Young L., & Waytz A. (2012). Mind perception is the essence of morality. Psychological Inquiry, 23(2), 101-124.
doi: 10.1080/1047840X.2012.651387 pmid: 22754268 |
| [20] | Gutbier C. L. D. (2014). A historical examination of punishment and forgiveness in literature for children. Liberal Studies, Skidmore College. |
| [21] |
Hamlin J. K., Wynn K., Bloom P., & Mahajan N. (2011). How infants and toddlers react to antisocial others. Proceedings of the National Academy of Sciences, 108(50), 19931-19936.
doi: 10.1073/pnas.1110306108 URL |
| [22] |
Hardecker S., Schmidt M.F., Roden M., & Tomasello M. (2016). Young children’s behavioral and emotional responses to different social norm violations. Journal of Experimental Child Psychology, 150, 364-379.
doi: S0022-0965(16)30069-8 pmid: 27429365 |
| [23] |
Hardecker S., & Tomasello M. (2017). From imitation to implementation: How two-and three-year-old children learn to enforce social norms. British Journal of Developmental Psychology, 35(2), 237-248.
doi: 10.1111/bjdp.12159 pmid: 27653172 |
| [24] |
House B. R., Silk J. B., Henrich J., Barrett H. C., Scelza B. A., Boyette A. H., … Laurence S. (2013). Ontogeny of prosocial behavior across diverse societies. Proceedings of the National Academy of Sciences of the United States of America, 110(36), 14586-14591.
doi: 10.1073/pnas.1221217110 pmid: 23959869 |
| [25] |
House B. R., Kanngiesser P., Barrett H. C., Broesch T., Cebioglu S., Crittenden A. N., … Silk J. B. (2020a). Universal norm psychology leads to societal diversity in prosocial behaviour and development. Nature Human Behaviour, 4(1), 36-44.
doi: 10.1038/s41562-019-0734-z |
| [26] | House B. R., Kanngiesser P., Barrett H. C., Yilmaz S., Smith A. M., Sebastian-Enesco C., … Silk J. B. (2020b). Social norms and cultural diversity in the development of third-party punishment. Proceedings of the Royal Society B: Biological Sciences, 287(1925), 20192794. |
| [27] | Ikeda A., Okumura Y., Kobayashi T., & Itakura S. (2018). Children passively allow other's rule violations in cooperative situations. Scientific Reports, 8(1), 6843. |
| [28] |
Johnson P. O., & Fay L. C. (1950). The Johnson-Neyman technique: Its theory and application. Psychometrika, 15 (4), 349-367.
doi: 10.1007/BF02288864 URL |
| [29] | Kant, I. (1952). The science of right (W. Hastie, Trans.). In R. M. Hutchins (Ed.), Great books of the Western world (Vol. 42, pp. 397-446). Encyclopedia Britannica. |
| [30] |
Kalish C. W., & Lawson C. A. (2008). Development of social category representations: Early appreciation of roles and deontic relations. Child Development, 79(3), 577-593.
doi: 10.1111/j.1467-8624.2008.01144.x pmid: 18489414 |
| [31] | Kenward B., & Östh T. (2012). Enactment of third-party punishment by 4-year-olds. Frontiers in Psychology, 3(373). doi: 10.3389/fpsyg.2012.00373 |
| [32] |
Kenward B., & Östh T. (2015). Five‐year‐olds punish antisocial adults. Aggressive Behavior, 41(5), 413-420.
doi: 10.1002/ab.21568 pmid: 26918430 |
| [33] | Kerr N. L., & Bruun S. E. (1983). Dispensability of member effort and group motivation losses: Free-rider effects. Journal of Personality & Social Psychology, 44(1), 78-94. |
| [34] |
Lee Y. E., & Warneken F. (2020). Children’s evaluations of third-party responses to unfairness: Children prefer helping over punishment. Cognition, 205, 104374.
doi: 10.1016/j.cognition.2020.104374 URL |
| [35] |
Lee Y. E., & Warneken F. (2022). Does third-party punishment in children aim at equality? Developmental Psychology, 58(5), 866-873.
doi: 10.1037/dev0001331 URL |
| [36] |
Lee Y.-E., Marshall J., Deutchman P., McAuliffe K., & Warneken F. (2022). Children's judgments of interventions against norm violations: COVID-19 as a naturalistic case study. Journal of Experimental Child Psychology, 221, 105452.
doi: 10.1016/j.jecp.2022.105452 URL |
| [37] |
Leliveld M. C., van Dijk E., & van Beest I. (2012). Punishing and compensating others at your own expense: The role of empathic concern on reactions to distributive injustice. European Journal of Social Psychology, 42(2), 135-140.
doi: 10.1002/ejsp.v42.2 URL |
| [38] |
Liu X., Yang X., & Wu Z. (2021). To punish or to restore: How children evaluate victims’ responses to immorality. Frontiers in Psychology, 12, 696160.
doi: 10.3389/fpsyg.2021.696160 URL |
| [39] |
Lotz S., Okimoto T. G., Schlösser T., & Fetchenhauer D. (2011). Punitive versus compensatory reactions to injustice: Emotional antecedents to third-party interventions. Journal of Experimental Social Psychology, 47(2), 477-480.
doi: 10.1016/j.jesp.2010.10.004 URL |
| [40] |
Marshall J., Yudkin D. A., & Crockett M. J. (2021). Children punish third parties to satisfy both consequentialist and retributive motives. Nature Human Behaviour, 5(3), 361-368.
doi: 10.1038/s41562-020-00975-9 pmid: 33230281 |
| [41] |
Marshall J., & McAuliffe K. (2022). Children as assessors and agents of third-party punishment. Nature Reviews Psychology, 1(6), 334-344.
doi: 10.1038/s44159-022-00046-y |
| [42] |
Marshall J., & McAuliffe K. (2024). How retributive motives shape the emergence of third‐party punishment across intergroup contexts. Child Development, 95(5), 1779-1796.
doi: 10.1111/cdev.14097 pmid: 38613375 |
| [43] |
Marshall J., Mermin-Bunnell K., Gollwitzer A., Retelsdorf J., & Bloom P. (2024). Cross-cultural conceptions of third-party intervention across childhood. Journal of Experimental Psychology: General, 153(9), 2216-2229.
doi: 10.1037/xge0001617 URL |
| [44] |
McAuliffe K., Jordan J. J., & Warneken F. (2015). Costly third-party punishment in young children. Cognition, 134, 1-10.
doi: 10.1016/j.cognition.2014.08.013 pmid: 25460374 |
| [45] | McAuliffe K., & Dunham Y. (2021). Children favor punishment over restoration. Developmental Science, 24(5), e13093. |
| [46] |
McAuliffe K., Marshall J., & Mclaughlin A. (2025). Beyond punishment: Psychological foundations of restorative interventions. Trends in Cognitive Sciences, 29(2), 149-169.
doi: 10.1016/j.tics.2024.11.011 pmid: 39732574 |
| [47] |
Misch A., Paulus M., & Dunham Y. (2021). Anticipation of future cooperation eliminates minimal ingroup bias in children and adults. Journal of Experimental Psychology: General, 150(10), 2036-2056.
doi: 10.1037/xge0000899 URL |
| [48] | Nussbaum M. C. (2017). Powerlessness and the politics of blame. National Endowment for the Humanities. https://www.law.uchicago.edu/news/martha-c-nussbaums-jefferson-lecture-powerlessness-and-politics-blame |
| [49] |
Ozono H., & Watabe M. (2012). Reputational benefit of punishment: Comparison among the punisher, rewarder, and non-sanctioner. Letters on Evolutionary Behavioral Science, 3(2), 21-24.
doi: 10.5178/lebs.2012.22 URL |
| [50] |
Rakoczy H., & Schmidt M.F. (2013). The early ontogeny of social norms. Child Development Perspectives, 7(1), 17-21.
doi: 10.1111/cdep.12010 URL |
| [51] |
Riedl K., Jensen K., Call J., & Tomasello M. (2015). Restorative justice in children. Current Biology, 25(13), 1731-1735.
doi: 10.1016/j.cub.2015.05.014 pmid: 26096976 |
| [52] | Piaget J. (1932). The moral judgment of the child. The Free Press. |
| [53] | Piaget J. (1952). The origins of intelligence in children. International Universities Press. |
| [54] |
Plötner M., Over H., Carpenter M., & Tomasello M. (2015). The effects of collaboration and minimal-group membership on children’s prosocial behavior, liking, affiliation, and trust. Journal of Experimental Child Psychology, 139, 161-173.
doi: 10.1016/j.jecp.2015.05.008 pmid: 26112747 |
| [55] | Prétôt L., Taylor Q., & McAuliffe K. (2024). Children cooperate more with in-group members than with out-group members in an iterated face-to-face Prisoner’s Dilemma Game. Journal of Experimental Child Psychology, 241, 1-20. |
| [56] |
Salali G. D., Juda M., & Henrich J. (2015). Transmission and development of costly punishment in children. Evolution and Human Behavior, 36(2), 86-94.
doi: 10.1016/j.evolhumbehav.2014.09.004 URL |
| [57] |
Schmidt M.F., Rakoczy H., & Tomasello M. (2012). Young children enforce social norms selectively depending on the violator’s group affiliation. Cognition, 124(3), 325-333.
doi: 10.1016/j.cognition.2012.06.004 pmid: 22766522 |
| [58] |
Stallen M., Rossi F., Heijne A., Smidts A., de Dreu C. K. W., & Sanfey A. G. (2018). Neurobiological mechanisms of responding to injustice. Journal of Neuroscience, 38(12), 2944-2954.
doi: 10.1523/JNEUROSCI.1242-17.2018 pmid: 29459373 |
| [59] | Twardawski M., & Hilbig B. E. (2020). The motivational basis of third-party punishment in children. PLoS One, 15(11), e0241919. |
| [60] |
Twardawski M., & Hilbig B. E. (2024). Retribution and utilitarianism as motives for children’s third-party punishment: An information-seeking approach. Motivation Science, 10(4), 387-391.
doi: 10.1037/mot0000351 URL |
| [61] |
Vaish A., Missana M., & Tomasello M. (2011). Three-year- old children intervene in third-party moral transgressions. British Journal of Developmental Psychology, 29(1), 124-130.
doi: 10.1348/026151010X532888 URL |
| [62] |
Vidmar N., & Miller D. T. (1980). Social psychological processes underlying attitudes toward legal punishment. Law and Society Review, 14(3), 565-602.
doi: 10.2307/3053193 URL |
| [63] |
Walden T. A. (1982). Mediation and production deficiencies in children’s judgments of morality. Journal of Experimental Child Psychology, 33(1), 165-181.
doi: 10.1016/0022-0965(82)90012-1 URL |
| [64] |
Warneken F. (2018). How children solve the two challenges of cooperation. Annual Review of Psychology, 69(1), 205-229.
doi: 10.1146/psych.2018.69.issue-1 URL |
| [65] | Wickham H. (2009). ggplot2: Elegant graphics for data analysis. Springer-Verlag New York. |
| [66] |
Wörle M., & Paulus M. (2017). Normative expectations about fairness: The development of a charity norm in preschoolers. Journal of Experimental Child Psychology, 165, 66-84.
doi: 10.1016/j.jecp.2017.03.016 URL |
| [67] |
Yang F., Choi Y. J., Misch A., Yang X., & Dunham Y. (2018). In defense of the commons: Young children negatively evaluate and sanction free-riders. Psychological Science, 29(10), 1598-1611.
doi: 10.1177/0956797618779061 pmid: 30010493 |
| [68] | Yang H., Sabrina S., & Bernd W. (2015). Helping or punishing strangers: Neural correlates of altruistic decisions as third-party and of its relation to empathic concern. Frontiers in Behavioral Neuroscience, 9(24), 1-9. |
| [69] |
Yang X., Wu Z., & Dunham Y. (2021). Children's restorative justice in an intergroup context. Social Development. 30(3), 663-683.
doi: 10.1111/sode.v30.3 URL |
| [70] |
Yucel M., Drell M. B., Jaswal V. K., & Vaish A. (2022). Young children do not perceive distributional fairness as a moral norm. Developmental Psychology, 58(6), 1103-1113.
doi: 10.1037/dev0001349 pmid: 35377702 |
| [71] |
Yudkin D. A., Van Bavel J. J., & Rhodes M. (2020). Young children police group members at personal cost. Journal of Experimental Psychology: General. 149(1), 182-191.
doi: 10.1037/xge0000613 URL |
| [72] | Zelazo P. D., Müller U., Frye D., Marcovitch S., Argitis G., Boseovski J., … Sutherland A. (2003). The development of executive function in early childhood. Monographs of the Society for Research in Child Development, 68(3), 7-137. |
| [73] |
Ziv T., Whiteman J. D., & Sommerville J. A. (2021). Toddlers’ interventions toward fair and unfair individuals. Cognition, 214, 104781.
doi: 10.1016/j.cognition.2021.104781 URL |
| [1] | 董念念, 王雪莉. 有志者, 事竟成:内在动机倾向、创意质量与创意实施[J]. 心理学报, 2020, 52(6): 801-810. |
| [2] | 周浩,龙立荣. 工作不安全感、创造力自我效能对员工创造力的影响[J]. 心理学报, 2011, 43(08): 929-940. |
| [3] | 严进,王重鸣 . 群体任务中合作行为的跨阶段演变[J]. 心理学报, 2003, 35(04): 499-503. |
| [4] | 严进,王重鸣. 两难情景下任务结构与价值取向的效用特征转换[J]. 心理学报, 2002, 34(05): 87-91. |
| [5] | 严进,王重鸣. 两难对策中价值取向对群体合作行为的影响[J]. 心理学报, 2000, 32(3): 332-336. |
| 阅读次数 | ||||||
|
全文 |
|
|||||
|
摘要 |
|
|||||