Acta Psychologica Sinica ›› 2026, Vol. 58 ›› Issue (3): 558-568.doi: 10.3724/SP.J.1041.2026.0558
• Reports of Empirical Studies • Previous Articles
Published:2026-03-25
Online:2025-12-26
Contact:
GUO Lei
E-mail:happygl1229@swu.edu.cn
Supported by:GUO Lei, QIN Haijiang. (2026). Factor retention in exploratory factor analysis based on LSTM. Acta Psychologica Sinica, 58(3), 558-568.
Add to citation manager EndNote|Ris|BibTeX
URL: https://journal.psych.ac.cn/acps/EN/10.3724/SP.J.1041.2026.0558
Figure 1 Hyperparameter random search results for LSTM models at varying sequence lengths. Identical x-axis positions indicate identical hyperparameter combinations.
| Optimal Hyperparameter Configuration | Optimal Metric | ||
|---|---|---|---|
| Hyperparameter | Value | Metric | Value |
| Learning rate | 0.01 | Accuracy | 0.847 |
| Number of LSTM layers | 2 | Precision | 0.847 |
| Units per LSTM layer | 32, 38 | Recall | 0.847 |
| Number of fully connected layers | 5 | F1-Score | 0.847 |
| Units per FC layer | 38, 39, 34, 31, 27 | Kappa | 0.831 |
| Activation function | Tanh | ||
Table 1 Hyperparameter Tuning Results
| Optimal Hyperparameter Configuration | Optimal Metric | ||
|---|---|---|---|
| Hyperparameter | Value | Metric | Value |
| Learning rate | 0.01 | Accuracy | 0.847 |
| Number of LSTM layers | 2 | Precision | 0.847 |
| Units per LSTM layer | 32, 38 | Recall | 0.847 |
| Number of fully connected layers | 5 | F1-Score | 0.847 |
| Units per FC layer | 38, 39, 34, 31, 27 | Kappa | 0.831 |
| Activation function | Tanh | ||
| Conditions | Level | acc | ||||
|---|---|---|---|---|---|---|
| CDF | EKC | PA | LSTM | Improvement Rate | ||
| Number of factors | 1 | 0.677 | 0.922 | 0.944 | 0.969 | 2.58% |
| 2 | 0.722 | 0.715 | 0.677 | 0.879 | 21.69% | |
| 4 | 0.558 | 0.516 | 0.493 | 0.732 | 31.08% | |
| 6 | 0.450 | 0.419 | 0.394 | 0.523 | 16.17% | |
| 8 | 0.373 | 0.358 | 0.330 | 0.636 | 70.62% | |
| 10 | 0.313 | 0.319 | 0.280 | 0.865 | 171.09% | |
| Factor correlations | 0.00 | 0.686 | 0.724 | 0.761 | 0.901 | 18.29% |
| 0.25 | 0.619 | 0.650 | 0.662 | 0.867 | 31.00% | |
| 0.50 | 0.485 | 0.495 | 0.450 | 0.775 | 56.44% | |
| 0.75 | 0.273 | 0.298 | 0.206 | 0.527 | 76.96% | |
| Indicators per factor | 4 | 0.370 | 0.416 | 0.381 | 0.772 | 85.47% |
| 7 | 0.547 | 0.568 | 0.547 | 0.765 | 34.51% | |
| 10 | 0.630 | 0.640 | 0.631 | 0.765 | 19.54% | |
| Primary loadings | L | 0.332 | 0.347 | 0.376 | 0.687 | 82.60% |
| M | 0.525 | 0.564 | 0.540 | 0.784 | 39.14% | |
| H | 0.690 | 0.714 | 0.643 | 0.831 | 16.25% | |
| Cross- loadings | L | 0.486 | 0.519 | 0.508 | 0.750 | 44.59% |
| H | 0.545 | 0.565 | 0.532 | 0.785 | 38.99% | |
| Sample size | 100 | 0.286 | 0.299 | 0.309 | 0.637 | 106.58% |
| 200 | 0.429 | 0.461 | 0.454 | 0.755 | 63.70% | |
| 500 | 0.617 | 0.657 | 0.614 | 0.823 | 25.26% | |
| 1000 | 0.731 | 0.750 | 0.703 | 0.854 | 13.94% | |
Table 2 Accuracy of Factor Retention Across Methods Under Various Data Conditions
| Conditions | Level | acc | ||||
|---|---|---|---|---|---|---|
| CDF | EKC | PA | LSTM | Improvement Rate | ||
| Number of factors | 1 | 0.677 | 0.922 | 0.944 | 0.969 | 2.58% |
| 2 | 0.722 | 0.715 | 0.677 | 0.879 | 21.69% | |
| 4 | 0.558 | 0.516 | 0.493 | 0.732 | 31.08% | |
| 6 | 0.450 | 0.419 | 0.394 | 0.523 | 16.17% | |
| 8 | 0.373 | 0.358 | 0.330 | 0.636 | 70.62% | |
| 10 | 0.313 | 0.319 | 0.280 | 0.865 | 171.09% | |
| Factor correlations | 0.00 | 0.686 | 0.724 | 0.761 | 0.901 | 18.29% |
| 0.25 | 0.619 | 0.650 | 0.662 | 0.867 | 31.00% | |
| 0.50 | 0.485 | 0.495 | 0.450 | 0.775 | 56.44% | |
| 0.75 | 0.273 | 0.298 | 0.206 | 0.527 | 76.96% | |
| Indicators per factor | 4 | 0.370 | 0.416 | 0.381 | 0.772 | 85.47% |
| 7 | 0.547 | 0.568 | 0.547 | 0.765 | 34.51% | |
| 10 | 0.630 | 0.640 | 0.631 | 0.765 | 19.54% | |
| Primary loadings | L | 0.332 | 0.347 | 0.376 | 0.687 | 82.60% |
| M | 0.525 | 0.564 | 0.540 | 0.784 | 39.14% | |
| H | 0.690 | 0.714 | 0.643 | 0.831 | 16.25% | |
| Cross- loadings | L | 0.486 | 0.519 | 0.508 | 0.750 | 44.59% |
| H | 0.545 | 0.565 | 0.532 | 0.785 | 38.99% | |
| Sample size | 100 | 0.286 | 0.299 | 0.309 | 0.637 | 106.58% |
| 200 | 0.429 | 0.461 | 0.454 | 0.755 | 63.70% | |
| 500 | 0.617 | 0.657 | 0.614 | 0.823 | 25.26% | |
| 1000 | 0.731 | 0.750 | 0.703 | 0.854 | 13.94% | |
| Conditions | Level | bias | |||
|---|---|---|---|---|---|
| CDF | EKC | PA | LSTM | ||
| Number of factors | 1 | 0.363 | -0.063 | -0.038 | 0.031 |
| 2 | -0.053 | -0.290 | -0.326 | 0.010 | |
| 4 | -0.892 | -0.936 | -1.131 | 0.524 | |
| 6 | -1.826 | -1.689 | -2.061 | 0.669 | |
| 8 | -2.851 | -2.489 | -3.055 | 0.164 | |
| 10 | -3.919 | -3.309 | -4.095 | -0.406 | |
| Factor correlations | 0.00 | -0.616 | -0.824 | -0.476 | 0.088 |
| 0.25 | -0.893 | -1.049 | -0.858 | 0.117 | |
| 0.50 | -1.596 | -1.555 | -2.005 | 0.242 | |
| 0.75 | -3.014 | -2.422 | -3.798 | 0.215 | |
| Indicators per factor | 4 | -1.853 | -2.133 | -2.371 | -0.269 |
| 7 | -1.476 | -1.334 | -1.671 | 0.208 | |
| 10 | -1.261 | -0.921 | -1.311 | 0.558 | |
| Primary loadings | L | -2.466 | -2.462 | -2.279 | 0.464 |
| M | -1.447 | -1.365 | -1.727 | 0.151 | |
| H | -0.676 | -0.561 | -1.347 | -0.118 | |
| Cross-loadings | L | -1.838 | -1.889 | -1.963 | 0.176 |
| H | -1.222 | -1.037 | -1.605 | 0.155 | |
| Sample size | 100 | -2.609 | -2.722 | -2.695 | 0.270 |
| 200 | -1.856 | -1.899 | -2.022 | 0.129 | |
| 500 | -1.036 | -0.908 | -1.383 | 0.150 | |
| 1000 | -0.618 | -0.321 | -1.037 | 0.113 | |
Table 3 Mean Bias in Factor Retention Across Methods Under Various Data Conditions
| Conditions | Level | bias | |||
|---|---|---|---|---|---|
| CDF | EKC | PA | LSTM | ||
| Number of factors | 1 | 0.363 | -0.063 | -0.038 | 0.031 |
| 2 | -0.053 | -0.290 | -0.326 | 0.010 | |
| 4 | -0.892 | -0.936 | -1.131 | 0.524 | |
| 6 | -1.826 | -1.689 | -2.061 | 0.669 | |
| 8 | -2.851 | -2.489 | -3.055 | 0.164 | |
| 10 | -3.919 | -3.309 | -4.095 | -0.406 | |
| Factor correlations | 0.00 | -0.616 | -0.824 | -0.476 | 0.088 |
| 0.25 | -0.893 | -1.049 | -0.858 | 0.117 | |
| 0.50 | -1.596 | -1.555 | -2.005 | 0.242 | |
| 0.75 | -3.014 | -2.422 | -3.798 | 0.215 | |
| Indicators per factor | 4 | -1.853 | -2.133 | -2.371 | -0.269 |
| 7 | -1.476 | -1.334 | -1.671 | 0.208 | |
| 10 | -1.261 | -0.921 | -1.311 | 0.558 | |
| Primary loadings | L | -2.466 | -2.462 | -2.279 | 0.464 |
| M | -1.447 | -1.365 | -1.727 | 0.151 | |
| H | -0.676 | -0.561 | -1.347 | -0.118 | |
| Cross-loadings | L | -1.838 | -1.889 | -1.963 | 0.176 |
| H | -1.222 | -1.037 | -1.605 | 0.155 | |
| Sample size | 100 | -2.609 | -2.722 | -2.695 | 0.270 |
| 200 | -1.856 | -1.899 | -2.022 | 0.129 | |
| 500 | -1.036 | -0.908 | -1.383 | 0.150 | |
| 1000 | -0.618 | -0.321 | -1.037 | 0.113 | |
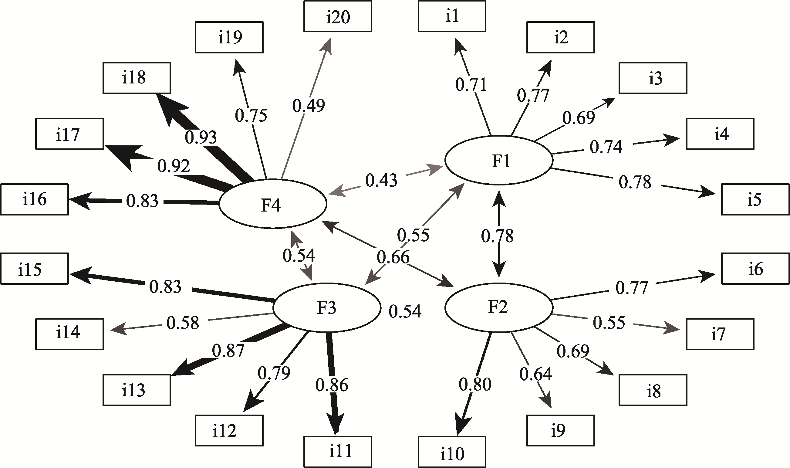
| Group | Size | Age | Independence Negative (F1) | Dependence Positive (F2) | Low Achievement Negative (F3) | High Achievement Positive (F4) | Total Scale |
|---|---|---|---|---|---|---|---|
| Male | 406 | 15.823±0.736 | 11.421±4.450 | 14.244±4.557 | 10.739±4.550 | 15.778±5.299 | 52.182±15.043 |
| Female | 581 | 15.823±0.831 | 10.859±4.206 | 13.274±4.473 | 9.644±4.338 | 15.279±5.552 | 49.055±14.764 |
| Overall | 987 | 15.823±0.793 | 11.090±4.315 | 13.673±4.530 | 10.094±4.457 | 15.484±5.452 | 50.341±14.951 |
| α coefficient | 0.857 | 0.817 | 0.885 | 0.889 | 0.923 | ||
Table 4 Descriptive Statistics (M ± SD) and α Coefficients for the Parental Psychological Control Scale
| Group | Size | Age | Independence Negative (F1) | Dependence Positive (F2) | Low Achievement Negative (F3) | High Achievement Positive (F4) | Total Scale |
|---|---|---|---|---|---|---|---|
| Male | 406 | 15.823±0.736 | 11.421±4.450 | 14.244±4.557 | 10.739±4.550 | 15.778±5.299 | 52.182±15.043 |
| Female | 581 | 15.823±0.831 | 10.859±4.206 | 13.274±4.473 | 9.644±4.338 | 15.279±5.552 | 49.055±14.764 |
| Overall | 987 | 15.823±0.793 | 11.090±4.315 | 13.673±4.530 | 10.094±4.457 | 15.484±5.452 | 50.341±14.951 |
| α coefficient | 0.857 | 0.817 | 0.885 | 0.889 | 0.923 | ||
| Class | Predicted Class | Total | |||
|---|---|---|---|---|---|
| C1 | C2 | C3 | |||
| True Class | C1 | a | g | h | j |
| C2 | d | b | i | k | |
| C3 | e | f | c | l | |
| Total | m | n | o | p | |
Table A1 Example of a Confusion Matrix for a Three-Class Classification Task
| Class | Predicted Class | Total | |||
|---|---|---|---|---|---|
| C1 | C2 | C3 | |||
| True Class | C1 | a | g | h | j |
| C2 | d | b | i | k | |
| C3 | e | f | c | l | |
| Total | m | n | o | p | |
| [1] |
Auerswald M., & Moshagen M. (2019). How to determine the number of factors to retain in exploratory factor analysis: A comparison of extraction methods under realistic conditions. Psychological Methods, 24(4), 468-491.
doi: 10.1037/met0000200 pmid: 30667242 |
| [2] | Bergstra J., & Bengio Y. (2012). Random search for hyper-parameter optimization. Journal of Machine Learning Research, 13, 281-305. |
| [3] |
Braeken J., & van Assen M. A. (2017). An empirical Kaiser criterion. Psychological Methods, 22(3), 450-466.
doi: 10.1037/met0000074 pmid: 27031883 |
| [4] | Brownlee J. (2018). Deep Learning for Time Series Forecasting: Predict the Future with MLPs, CNNs and LSTMs in Python. Machine Learning Mastery. |
| [5] | Chen S., Abhinav S., Saurabh S., & Abhinav G. (2017). Revisiting unreasonable effectiveness of data in deep learning era. arXiv preprint:1707.02968. |
| [6] | DeepSeek-AI Liu, A. Feng, B. Xue, B. Wang, B. Wu, B.,... Pan Z.,(2024). DeepSeek-V3 technical report. arXiv preprint: 2412.19437. |
| [7] | Deng Y., Gao X., Xu C., Sun Z., Yue Y., & Liu X. (2019). Reliability and validity test of Dependency-Oriented and Achievement-Oriented Psychological Control Scale in Chinese adolescents. Chinese Journal of Clinical Psychology, 27(2), 253-257. |
| [8] | de Winter J. C., & Dodou D. (2012). Factor recovery by principal axis factoring and maximum likelihood factor analysis as a function of factor pattern and sample size. Journal of Applied Statistics, 39(4), 695-710. |
| [9] |
Dinno A. (2009). Exploring the sensitivity of Horn’s parallel analysis to the distributional form of random data. Multivariate Behavioral Research, 44(3), 362-388.
doi: 10.1080/00273170902938969 URL |
| [10] |
Fava J. L., & Velicer W. F. (1996). The effects of underextraction in factor and component analyses. Educational and Psychological Measurement, 56(6), 907-929.
doi: 10.1177/0013164496056006001 URL |
| [11] | Goodfellow I., Bengio Y., & Courville A. (2016). Deep learning. MIT Press. |
| [12] | Goretzko D. (2025). How many factors to retain in exploratory factor analysis? A critical overview of factor retention methods. Psychological Methods, https://doi.org/10.1037/met0000733. |
| [13] |
Goretzko D., & Bühner M. (2020). One model to rule them all? Using machine learning algorithms to determine the number of factors in exploratory factor analysis. Psychological Methods, 25(6), 776-786.
doi: 10.1037/met0000262 URL |
| [14] |
Goretzko D., & Bühner M. (2022). Factor retention using machine learning with ordinal data. Applied Psychological Measurement, 46(5), 406-421.
doi: 10.1177/01466216221089345 pmid: 35812814 |
| [15] |
Goretzko D., & Ruscio J. (2024). The comparison data forest: A new comparison data approach to determine the number of factors in exploratory factor analysis. Behavior Research Methods, 56(3), 1838-1851.
doi: 10.3758/s13428-023-02122-4 |
| [16] | Heaton J. (2008). Feedforward neural networks (pp. 143-172). In Introduction to neural networks with Java (2nd ed.). Heaton Research, Inc. |
| [17] |
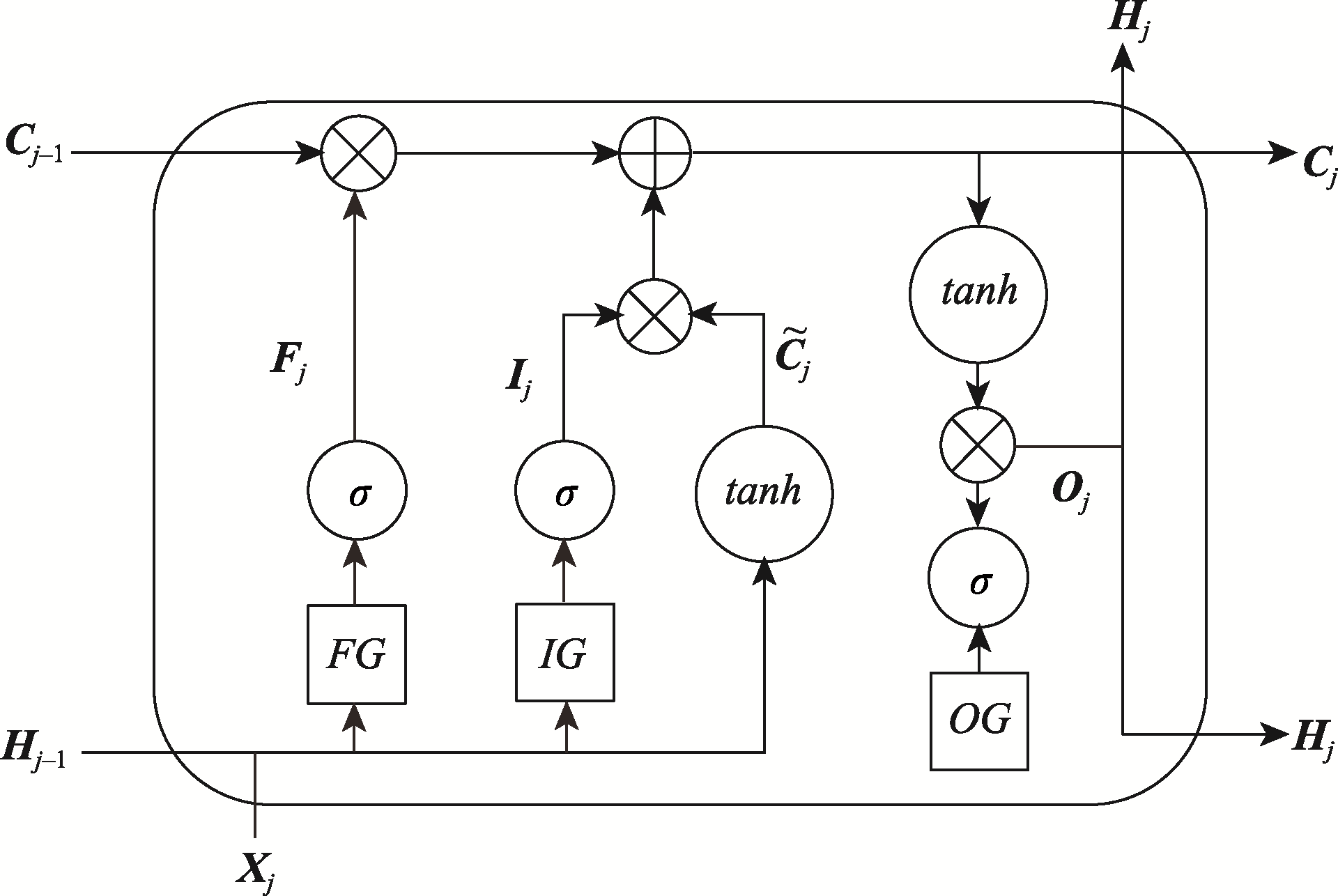
Hochreiter S., & Schmidhuber J. (1997). Long short-term memory. Neural Computation, 9(8), 1735-1780.
doi: 10.1162/neco.1997.9.8.1735 pmid: 9377276 |
| [18] |
Horn J. L. (1965). A rationale and test for the number of factors in factor analysis. Psychometrika, 30(2), 179-185.
doi: 10.1007/BF02289447 URL |
| [19] |
Humphreys L. G., & Montanelli R. G. (1975). An investigation of the parallel analysis criterion for determining the number of common factors. Multivariate Behavioral Research, 10(2), 193-205.
doi: 10.1207/s15327906mbr1002_5 URL |
| [20] | Ioffe S., & Szegedy C. (2015). Batch normalization: Accelerating deep network training by reducing internal covariate shift. arXiv preprint:1502.03167. |
| [21] |
Kaiser H. F. (1960). The application of electronic computers to factor analysis. Educational and Psychological Measurement, 20, 141-151.
doi: 10.1177/001316446002000116 URL |
| [22] | Kalinowski T., Ushey K., Allaire J. J., RStudio, Tang Y., Eddelbuettel D.,... Geelnard M. (2025). reticulate: Interface to Python. R package version 1.42.0. |
| [23] | Kingma D. P., & Ba J. (2014). Adam: A method for stochastic optimization. arXiv preprint: 1412.6980. |
| [24] | Lange S., Helfrich K., & Ye Q. (2022). Batch normalization preconditioning for neural network training. Journal of Machine Learning Research, 23(1), 3118-3158. |
| [25] | LeCun Y., Bengio Y., & Hinton G. (2015). Deep learning. Nature, 521, 436-444. |
| [26] |
Li Y., Wen Z., Hau K.-T., Yuan K.-H., & Peng Y. (2020). Effects of cross-loadings on determining the number of factors to retain. Structural Equation Modeling: A Multidisciplinary Journal, 27(6), 841-863.
doi: 10.1080/10705511.2020.1745075 URL |
| [27] |
Lorenzo-Seva U., Timmerman M. E., & Kiers H. A. (2011). The Hull method for selecting the number of common factors. Multivariate Behavioral Research, 46(2), 340-364.
doi: 10.1080/00273171.2011.564527 pmid: 26741331 |
| [28] |
Marčenko V. A., & Pastur L. A. (1967). Distribution of eigenvalues for some sets of random matrices. Mathematics of the USSR-Sbornik, 1, 457-483.
doi: 10.1070/SM1967v001n04ABEH001994 URL |
| [29] | Nair V., & Hinton G. E. (2010). Rectified linear units improve restricted Boltzmann machines. In Proceedings of the 27th International Conference on Machine Learning (ICML-10) (pp. 807-814). Omnipress. |
| [30] | Peres-Neto P. R., Jackson D. A., & Somers K. M. (2005). How many principal components? Stopping rules for determining the number of non-trivial axes revisited. Computational Statistics & Data Analysis, 49(4), 974-997. |
| [31] |
Qin H., & Guo L. (2024). Using machine learning to improve Q-matrix validation. Behavior Research Methods, 56(3), 1916-1935.
doi: 10.3758/s13428-023-02126-0 |
| [32] | Qin H., & Guo L. (2025a). EFAfactors: Determining the number of factors in exploratory factor analysis. R package version 1.2.1. |
| [33] | Qin H., & Guo L. (2025b). LSTMfactors: Determining the number of factors in exploratory factor analysis by LSTM. R package version 1.0.0. |
| [34] | Paszke A., Gross S., Massa F., Lerer A., Bradbury J., Chanan G.,... Chintala S. (2019). PyTorch: An imperative style, high- performance deep learning library. In Proceedings of the 33rd International Conference on Neural Information Processing Systems (pp. Article 721). Curran Associates Inc. |
| [35] | Pedregosa F., Varoquaux G., Gramfort A., Michel V., Thirion B., Grisel O.,... Duchesnay É. (2011). Scikit-learn: Machine learning in Python. Journal of Machine Learning Research, 12, 2825-2830. |
| [36] | R Core Team. (2025). R: A Language and Environment for Statistical Computing. R Foun dation for Statistical Computing, Vienna, Austria. https://www.R-project.org |
| [37] |
Ruscio J., & Kaczetow W. (2008). Simulating multivariate nonnormal data using an iterative algorithm. Multivariate Behavioral Research, 43(3), 355-381.
doi: 10.1080/00273170802285693 pmid: 26741201 |
| [38] |
Ruscio J., & Roche B. (2012). Determining the number of factors to retain in an exploratory factor analysis using comparison data of known factorial structure. Psychological Assessment, 24(2), 282-292.
doi: 10.1037/a0025697 pmid: 21966933 |
| [39] |
Soenens B., & Vansteenkiste M. (2010). A theoretical upgrade of the concept of parental psychological control: Proposing new insights on the basis of self-determination theory. Developmental Review, 30(1), 74-99.
doi: 10.1016/j.dr.2009.11.001 URL |
| [40] |
Velicer W. F. (1976). Determining the number of components from the matrix of partial correlations. Psychometrika, 41(3), 321-327.
doi: 10.1007/BF02293557 URL |
| [41] |
Wood J. M., Tataryn D. J., & Gorsuch R. L. (1996). Effects of under- and overextraction on principal axis factor analysis with varimax rotation. Psychological Methods, 1(4), 354-365.
doi: 10.1037/1082-989X.1.4.354 URL |
| [42] |
Zwick W. R., & Velicer W. F. (1986). Comparison of five rules for determining the number of components to retain. Psychological Bulletin, 99(3), 432-442.
doi: 10.1037/0033-2909.99.3.432 URL |
| [1] | Zou Hong,Jiang Suo. Development of the Adolescent Self-disclosure with Peers Questionnaire [J]. , 2008, 40(02): 184-192. |
| [2] | Li-Chaoping,Xiaoxuan,Shi-Kan-,Chen-Xuefeng. Psychological Empowerment: Measurement and its Effect on Employees’ Work Attitude in China [J]. , 2006, 38(01): 99-106. |
| [3] | Ma-Chao,Ling-Wenquan,Fang-Liluo. Construct Dimension of the Enterprise Staff’s Perceptions of Organizational Politics [J]. , 2006, 38(01): 107-115. |
| [4] | Wang Huaiming, Ma Mouchao. THE FACTORS OF CELEBRITY ENDORSER’S CREDIBILITY [J]. , 2004, 36(03): 365-369. |
| Viewed | ||||||
|
Full text |
|
|||||
|
Abstract |
|
|||||
