过去20年城乡高中生的教育效用与教育志向:基于三个出生队列的历史比较研究
Utility of education and educational aspiration of urban and rural high school students over the past 20 years: A historical comparative study based on three birth cohorts
Received: 2022-08-31
本研究采用时间滞后设计, 考察过去20年我国高中生教育效用和教育志向水平的年代和城乡差异, 以及二者与个体学业成绩、父母学历之间关系的年代和城乡差异。分别在1999年、2010年、2018年对来自相同的三个地区(包括城市和农村)、相同学校的高中生进行问卷调查, 使用协方差分析和回归分析进行数据分析。结果发现:(1)自1999年至2018年, 城乡高中生的教育效用都遵循先下降、后回升的变化趋势; 在教育志向上, 城市高中生无明显变化, 而农村高中生教育志向上升并超越城市高中生; (2)高中生教育效用、教育志向受父母学历和学业成绩等微观因素影响, 且受年代和城乡宏观社会历史因素调节。相比于其他年份, 2010年时成绩较差学生的教育效用更低、2018年时成绩较差学生的教育志向更高; 自1999年至2018年, 低父母学历对农村高中生教育志向的影响方式由“枷锁效应”转变为“鞭策效应”。我国过去20年的社会变迁使城乡高中生对教育的价值认同发生系统性变化, 且宏观社会历史因素的演变改变了教育的价值认同形成的微观机制。
关键词:
In the past 20 years, China has witnessed tremendous socio-economic development at an unprecedented pace in human history. As a macro factor, a dramatic social change leads to differences in the psychological and behavioral characteristics across different times. The endorsement of values of educational is important for both individual development and the nation’s human capital stock. Considering the social and economic changes occurring in China for the past two decades, Chinese high school students’ endorsement in educational values could fluctuate along with social changes. This study examined the time differences in the educational values of high school students in China over the past 20 years and the potential differences between urban and rural areas. Additionally, given that developmental outcomes are the results of the interactions between factors of various levels, the current study also examined the interaction between macro factors, i.e., time and region, and micro factors, i.e., parental educational experience and academic achievement.
Using a time-lagged research design, questionnaires were administered to high school students from the same three regions (including urban and rural areas) and the same schools in 1999, 2010, and 2018. Using analysis of covariance (ANCOVA), the main effects of time and region, as well as the interactive effects between them, was tested for utility of education and educational aspiration, respectively. Hierarchical regression analyses were used to test the main effects and interactive effects between time, region, and parental educational experience and academic achievement on educational value outcomes.
The results showed that: (1) on utility of education, urban and rural high school students followed a trend of decreasing and then rising up, and the level of educational values of rural students was not lower than that of urban students; on educational aspirations, the trend was different across regions: there was no significant change for urban high school students, while the educational expectations of rural high school students increased and surpassed those of rural high school students. (2) Utility of education and educational aspiration were influenced by academic achievement and parental educational experience, and were further moderated by time and region. Specifically, utility of educational of lower-achieving students was lower in 2010 and educational aspiration of lower-achieving students was higher in 2018; and from 1999 to 2018, the pattern low parental education influenced educational aspiration among rural high school students has evolved from a shackle effect to a spur effect.
Based on the empirical findings, this study provided preliminary knowledge about the changes in educational values along with social change in China. The education values of Chinese high school students have fluctuated over the past 20 years, which can be explained by the change in economic structures and educational policies in the context of China’s social change and the urban-rural structure. Besides the changes at levels of variables, changing sociohistorical factors on a macro level also alter certain mechanisms underlying psychology on the micro level.
Keywords:
本文引用格式
张良, 张文新.
ZHANG Liang, ZHANG Wenxin.
1 引言
自20世纪80年代实行改革开放以来, 我国处在人类历史上空前广泛、深刻且迅猛的社会变迁之中。特别是近20余年来, 随着改革开放的不断深化, 我国在国民生产总值、进出口总额、人均收入、城镇人口比例等主要经济和社会指标上实现了大幅度、甚至近10倍的增长, 取得了巨大的经济社会发展成就。我国长期保持经济社会高速发展的重要原因之一是对教育事业的重视。自改革开放以来, 国家出台了多项法律、政策, 进行多次教育改革, 不断提升教育质量, 推进教育公平, 提升了总体教育实力。在宏观上, 教育为经济建设储备了高素质劳动力, 形成经济社会发展的人力资本基础, 还起到阻断贫困代际传递、促进我国居民收入代际流动的作用, 成为我国脱贫攻坚的重要手段(罗楚亮, 刘霞, 2018; 马陆亭 等, 2021)。在微观上, 接受更高水平的教育为个体带来更高的收入和职业地位, 尤其在知识经济时代, 接受高水平高质量教育越发成为个体就业的重要条件(Schoon, 2010)。
近20年来, 随着我国宏观经济体制和教育政策的演化, 青少年对于教育的价值认同可能存在年代差异并在城乡二元格局背景下呈现城乡差异, 且受近端微观因素影响(如学业成绩、父母学历)的机制可能具有年代和城乡差异。本研究聚焦于高中生的教育效用与教育志向。教育效用(utility of education)是个体对接受教育对其成年后工作和生活重要性和有用性的评价(Fuligni & Zhang, 2004; 赵力燕 等, 2016)。教育志向(educational aspiration)即个体希望自己将来获得何种程度的教育、反映个体未来接受更高层次教育的愿望(Fuligni, 1997; 李汪洋, 2017)。二者均是个体对未来接受更高层次教育的价值性判断, 与青少年当下学习成绩和学业投入等呈正相关, 且对青少年未来的学业成就有预测作用(Khattab, 2015; 李汪洋, 2017; 赵力燕 等, 2016)。高中是高等教育的前置阶段, 就个体层面而言, 高中生对教育价值的认同与其获得高等教育机会以及未来职业和经济收入有关; 相应地, 在宏观的社会层面上, 高中生的教育价值认同影响着我国高等教育储备高质量人力资本和调节贫富差距等重要功能的发挥(马陆亭 等, 2021)。此外, 高中生处于青少年期, 价值观易受各种因素影响, 已有研究发现我国社会变迁过程中青少年价值观发生了系统性变化, 如个体主义和现实化取向增强(沈潘艳 等, 2017)。党的十四大强调, 赢得青年才能赢得未来, 因此, 明确我国高中学生对于受高等教育的价值认同状况和形成机制如何随社会变迁产生动态变化对学生个人前途及我国未来发展具有重要意义。然而, 关于此问题, 当前学术界仍缺乏数据描述以及对背后机制的探索。鉴于此, 本研究基于时间滞后设计获得的调查研究数据揭示1999年至2018年20年时间内我国高中生教育效用与教育志向的变化及其城乡差异, 并考察高中生学业成绩、父母学历对二者的影响及年代、城乡差异。
1.1 宏观社会历史因素
社会变迁会导致社会成员出现系统性心理变化。半个多世纪以来, 我国居民在文化价值观、人格、情绪特点、教养方式、幸福感等多个方面均发生了明显改变, 不同时期呈现出具有时代特色的群体心理特点(蔡华俭 等, 2020)。居民对于受教育的价值认同也受社会变迁影响。根据理性行动理论(rational action theory), 个体关于未来受教育的态度和行为是理性权衡受教育成本与收益的结果(Breen & Goldthorpe, 1997; 吴愈晓, 2013), 而社会变迁进程中宏观社会经济状况和教育政策的演化会引起受教育收益和成本的动态变化。改革开放后, 随着知识经济时代到来, 高学历为个体带来更强的就业竞争力, 高等教育的收益上升。然而, 我国20世纪90年代末针对高等教育进行的一系列改革又导致高等教育的收益下降、成本上升。1999年高校扩招后, 我国高等教育毛入学率急剧上升, 从1999年的10.5%上升到2010年的26.5%, 再上升到2018年的48.1% (中华人民共和国教育部, 1999, 2010, 2018)。这一方面提供了更多受高等教育的机会, 但另一方面, 由于高等教育从精英化变为大众化, “大学生”这一身份的光环效应弱化, 由此可能使高中生对受高等教育的价值认同降低。此外, 高校快速扩招的直接后果是待就业高校毕业生群体的扩大, 但在21世纪初期我国制造业以劳动密集型为主, 就业市场缺少与高校专业相符的知识密集型工作岗位, 加之高校毕业生就业市场化改革, 产生了明显的高校毕业生就业难问题(吴愈晓, 2013; 杨卫安, 2018), 这也使受高等教育的收益相对下降。与此同时, 受我国高校市场化改革的影响, 高校学费明显增加, 且其增长速度远超国家财政教育投入和居民收入的增长速度(吴愈晓, 2013; 杨卫安, 2018)。由于接受高等教育的收益下降、成本上升, 我国高中生的教育效用和教育志向可能在21世纪初呈下降趋势。
然而, 我国针对高等教育成本高、毕业生就业难的问题进行了及时的政策调控。例如, 自2000年起实施并不断完善的国家助学贷款政策、2012年启动的高考“三大专项计划”起到了降低高等教育成本的作用; 对大学生开设职业发展与就业指导课程、并于2007年将其作为必修课纳入课程体系有助于提高高校毕业生的求职能力。更为重要的是, 随着知识经济时代的来临, 知识对经济社会发展的意义日益显著, 战略性新兴产业的出现有助于拓展大学生就业市场, 改善大学生就业状况(Schoon, 2010; 史淑桃, 李宁, 2021)。因此本研究假设, 在1999年至2018年期间, 高中生对受教育赋予的价值可能呈现先下降、后回升的特点。
在探讨我国高中生教育效用和教育志向随社会变迁发生的变化时, 不可忽视城乡差异。我国长期存在城乡二元结构(陈斌开, 林毅夫, 2013), 农村居民与城市居民相比在经济收入、受教育经历、家庭文化资源方面居于弱势, 使农村学生父母在支付学费、言传身教向子女传递积极的教育价值观、在子女学业上提供帮助等方面弱于城市学生父母(吴愈晓, 2013; 谢爱磊, 2017)。鉴于此, 学术界认为农村学生对受高等教育的价值认同可能低于城市学生(吴愈晓, 2013; 谢爱磊, 2017)。然而, 在社会变迁的大背景下, 城乡差异也会出现动态变化。例如, 近十年来户籍制度改革、城镇化建设的不断深入使农村青少年通过受教育实现阶层提升的通道更加清晰, 从而对受高等教育产生更积极的价值认同(刘浩, 2019); 国家助学贷款、高考专项计划等政策侧重于帮扶农村地区学生, 降低了农村青少年受高等教育的成本, 使其更易于实现受高等教育的愿望。由于农村学生追求阶层上升的驱力更强, 在此背景下, 农村高中生的教育志向可能呈现快速增长。因此, 在1999年至2018年期间, 城乡高中生教育效用和教育志向随年代变化的趋势可能不同, 农村地区可能呈现出比城市地区更积极的变化。
1.2 微观家庭与个体因素及微观与宏观因素的交互作用
根据生命历程理论(life course theory; Elder, 1998), 虽然个体生命历程中的选择受特定社会历史因素限制, 但个体生命历程并非单一地、被动地被宏观因素塑造, 微观水平上的近端机制最终决定了个体生命历程(Schoon & Lyons- Amos, 2017)。年代和城乡等宏观因素可能使处于不同社会历史背景下的高中生的教育效用和教育志向呈现系统性差异, 但微观因素(如家庭因素、个体特点)导致了更复杂的个体水平差异。已有研究发现父母受教育程度、青少年学业成绩与青少年教育效用和教育志向间存在正向关系(Chen & Hesketh, 2021; Lawson et al., 2020; 刘保中 等, 2015; Schoon, 2010; 谢爱磊, 2017; 赵力燕 等, 2016)。父母受教育程度体现家庭文化资源的丰富度, 高学历父母可提供更丰富的文化以及经济资源, 给予学业上的支持和帮助, 通过言传身教使子女形成对受教育的价值认同(刘保中 等, 2015), 从而使子女形成更积极的教育效用和教育志向。高中生学业成绩代表了其学业能力, 对于学业成绩较差的学生而言, 可能会因避免认知失调(即避免态度与行为不一致; Festinger, 1962)而低估教育效用, 也会因缺乏学业竞争力而有较低的教育志向。
个体发展的近端因素嵌套于社会历史和文化背景因素中, 宏观和微观因素之间的交互作用产生出个体特定的心理与行为(Bronfenbrenner, 1979; Schoon & Lyons-Amos, 2017)。具体到本研究所关注的问题, 对于处在不同社会历史背景(年代与城乡的组合)下的高中生而言, 其教育效用和教育志向受近端因素(父母学历、学业成绩)的影响模式可能不同。例如, Schoon (2010)对分别出生于1958年、1970年、1989年的16岁英国青少年进行研究, 发现三个出生队列中学业成绩和父母教育水平都能正向预测青少年的教育期望, 但相比于前两个队列, 1989年出生队列青少年的教育期望与学业成绩和父母教育水平的关系减弱。这一现象可能与英国为了提高劳动者知识水平而施行的一系列扩大高等教育规模、促进教育机会公平的政策有关, 包括进行教育体制改革, 为高等教育阶段学生提供经济支持和职业指导等。在这些政策的影响下, 接受高等教育渐渐成为一种社会常态(social norm), 使其对个体水平因素的依赖减小(Schoon, 2010)。与之类似, 我国的研究也发现, 高等教育扩张减弱了农村居民父代与子代受教育水平的相关性, 提升了农村教育代际流动性(彭骏, 赵西亮, 2022)。
在探讨年代的调节作用时同样不可忽视城乡差异, 例如彭骏和赵西亮(2022)发现的高等教育扩张对教育流动性的提升作用仅出现在农村样本中。高中生的教育效用和教育志向可能受年代、城乡、个体因素三者交互作用的影响。以父母学历的效应为例, 就一般规律而言, 低父母学历高中生可能由于家庭文化经济资本匮乏等原因而有较低的教育效用和教育志向, 低父母学历产生“枷锁效应” (童馨乐 等, 2019)。然而, 低父母学历高中生也可能更清晰地体会到因受教育程度低而造成的生活困难, 由此产生强烈的通过受教育改变自身命运和家庭境况的驱力, 从而低父母学历产生“鞭策效应” (童馨乐 等, 2019; 余秀兰, 韩燕, 2018)。近10年来, 户籍政策开放和新型城镇化建设增进了城乡交流, 使农村居民有更多机会进入城市劳动力市场并实现由乡到城的转变。而相比于进城务工等迁移手段, 教育手段(就读大学)可以使农村居民有效提升个人人力资本, 进入城市主要劳动力市场, 更高效地融入城市(刘浩, 2019)。在此背景下, 对于来自农村底层家庭的高中生而言, 接受高等教育是实现阶层向上流动的重要策略, 且偏向农村的高等教育帮扶政策提升了该策略的可行性, 从而农村高中生赋予高等教育更高的价值、拥有更高的教育志向。
综上, 本研究采用时间滞后设计(time-lagged design), 在1999年、2010年、2018年三个时期调查城市和农村地区高中生的教育效用和教育志向, 并进行年代差异、城乡差异分析, 以此反映过去20年我国城乡高中生对高等教育的价值认同随社会变迁的变化。此外, 考察高中生学业成绩、父母学历与教育效用、教育志向间关系的年代差异和城乡差异, 揭示宏观社会历史因素与微观家庭与个体因素共同影响高中生对高等教育价值认同的机制。综合先前研究及前述分析, 提出以下研究假设:(1)年代差异方面, 自1999年至2018年, 高中生教育效用和教育志向出现先下降再回升的特点; (2)城乡差异方面, 农村高中生在教育效用方面强于城市学生, 在教育志向方面相对城市学生有明显的上升趋势; (3)高中生学业成绩、父母学历与教育效用、教育志向有正向关联, 但此关系受年代与城乡因素的调节, 预期自1999年至2018年, 农村高中生的教育志向受父母学历的正向影响减弱、可能现出负向影响。
2 方法
2.1 被试
采取整群抽样法于1999年在山东省济南市市区、山东滨州惠民县和山东潍坊青州市各两所普通高中选取708名高一和高三学生作为被试, 此后分别于2010年和2018年在同样学校中分别选取1040名和1301名高一和高三学生作为被试, 形成三个出生队列。济南是山东省的省会城市, 社会经济发展水平较高, 1999年济南市全域非农业人口比例为41.31%。惠民县和青州市分别为山东省滨州市和潍坊市下辖的县级行政区域, 不在城市区域内, 1999年滨州市和潍坊市全域非农业户口比例仅分别为20.86%和24.49%。本研究将来自济南市的研究对象界定为城市样本, 将来自青州市和惠民县的研究对象界定为农村样本。被试基本信息如表1所示。
表1 被试分布情况(人数)
| 年代 | 城乡 | 性别 | 年级 | 是否独生 | |||
|---|---|---|---|---|---|---|---|
| 男 | 女 | 高一 | 高三 | 独生 | 非独生 | ||
| 1999年 | 城市 | 163 | 181 | 172 | 172 | 285 | 59 |
| 农村 | 212 | 152 | 196 | 168 | 83 | 281 | |
| 2010年 | 城市 | 238 | 247 | 248 | 237 | 376 | 109 |
| 农村 | 254 | 301 | 297 | 258 | 200 | 355 | |
| 2018年 | 城市 | 340 | 344 | 319 | 365 | 365 | 319 |
| 农村 | 257 | 360 | 311 | 306 | 183 | 434 | |
2.2 研究工具
(1)教育效用
采用教育效用量表(Eccles et al., 1983; Fuligni & Zhang, 2004)考察青少年对接受教育在未来生活中重要性和有用性的评价。该量表包括5个项目, 例如“上大学对我将来所要从事的工作是必要的” “对我来说, 在学校里取得好成绩是成年后事业成功的最佳途径”。该量表采用5点计分, 1代表“一点也不符合”, 5代表“非常符合”, 分数越高表明被试认为接受教育对今后发展越重要。本研究中, 该量表的内部一致性系数在三个出生队列上分别为0.82、0.89和0.87。测量一致性检验表明, 教育效用具有跨出生队列(ΔCFI = 0.010)和跨城乡(ΔCFI = 0.005)的强测量一致性(Chen, 2007)。
(2)教育志向
设置问题“你希望自己受到何种程度的教育”以及5个选项:“上一段高中” “高中毕业” “专科毕业” “本科毕业” “研究生毕业”, 分别计1~5分。得分越高说明青少年教育志向越高。
(3)学业成绩
使用学业成绩量表(Eccles et al., 1983)考察青少年对自己学业成绩的评价。数学和语文分量表内容完全一致, 均包括3个项目, 例如“你的数学(语文)成绩如何” “如果把你班所有同学的数学(语文)成绩按从最差到最好的顺序排列的话, 你将把自己放在什么位置”。该量表采用5点计分, 1代表“一点也不好(最差)”, 5代表“很好(最好)”。分数越高代表被试学业成绩越好。本研究中数学分量表的内部一致性系数在三个出生队列上分别为0.89、0.89和0.87, 语文分量表的内部一致性系数在三个出生队列上为0.89、0.86、0.86。以数学、语文两个量表所有题目的平均分为学业成绩指标。测量一致性检验表明, 学业成绩具有跨出生队列(ΔCFI = 0.005)和跨城乡(ΔCFI = 0.004)的强测量一致性(Chen, 2007)。
(4)父母学历
设置父亲受教育水平和母亲受教育水平两个题项, 各包含以下选项:“小学及以下” “初中” “高中” “大学及以上”, 分别编码为1~4分。
(5)父母职业
设置父亲职业和母亲职业两个题项, 根据已有文献(Fuligni & Zhang, 2004)将各职业进行以下分类:务农或无业(如农民、下岗失业人员), 蓝领工作(如工人、司机), 职业或半职业工作(如教师或科研技术人员、机关干部和公务员)。三类职业分别赋值为1、2、3分。在本研究中, 取父母双方职业得分较高者得分为父母职业得分。
2.3 研究程序
在1999年、2010年、2018年采用相同的施测程序和测量工具收集数据。在取得了校方及师生的同意之后, 以班级为单位进行问卷施测, 所有问卷的测量均为学生自我报告。主试由具有丰富施测经验的发展心理学研究生担任, 施测前所有主试接受标准化的问卷指导语、测查内容及施测注意事项等方面的培训。施测结束后, 所有问卷均由主试统一回收并核查整理。
3 结果
3.1 教育效用、教育志向的年代、城乡差异
1999年、2010年、2018年三个年代城乡高中生教育效用和教育志向如表2所示。为考察高中生教育效用、教育志向在年代和城乡上的差异及交互作用, 分别以教育效用、教育志向为因变量, 以性别、年级、是否独生、青少年学业成绩、父母受教育水平、父母职业为控制变量, 进行3 (年代:1999年/2010年/2018年) × 2 (城乡:城市/农村)协方差分析。
表2 教育效用和教育志向的平均数与标准差 (M ± SD)
| 年代 | 城乡 | 教育效用 | 教育志向 |
|---|---|---|---|
| 1999年 | 城市 | 3.93 ± 0.87 | 4.48 ± 0.63 |
| 农村 | 3.79 ± 0.76 | 4.16 ± 0.84 | |
| 2010年 | 城市 | 3.53 ± 1.00 | 4.39 ± 0.64 |
| 农村 | 3.48 ± 0.99 | 4.32 ± 0.81 | |
| 2018年 | 城市 | 3.59 ± 0.98 | 4.42 ± 0.66 |
| 农村 | 3.68 ± 0.90 | 4.54 ± 0.54 |
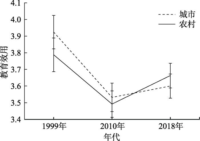
以教育效用为因变量的分析显示, 年代的主效应显著, F(2, 3030) = 28.92, p < 0.001, η2p = 0.02; 城乡的主效应不显著, F(1, 3030) = 0.86, p = 0.355。年代和城乡的交互作用不显著, F(2, 3028) = 2.65, p = 0.071。如图1所示, 事后检验表明, 年代差异方面, 1999年队列的教育效用(M = 3.86, SD = 0.82)显著高于2010年队列(M = 3.51, SD = 0.99), p < 0.001, 也显著高于2018年队列(M = 3.63, SD = 0.94), p < 0.001; 2010年队列的教育效用显著低于2018年队列, p = 0.002。分别加入性别、年级、是否独生与年代、城乡的二元及三元交互项进行补充分析, 发现带有性别、年级或是否独生的二元或三元交互项均不显著(ps > 0.174), 即教育效用的年代和城乡差异模式在不同性别、不同年级或是否独生之间不存在显著差异。
图1
以教育志向为因变量的分析显示, 年代的主效应显著, F(2, 3033) = 11.18, p < 0.001, η2p = 0.01; 城乡的主效应显著但效应量微弱, F(1, 3033) = 4.30, p = 0.038, η2p = 0.001。年代和城乡的交互作用显著, F(2, 3033) = 20.78, p < 0.001, η2p = 0.01。如图2所示, 简单效应分析表明, 1999年队列中, 城市高中生的教育志向(M = 4.48, SD = 0.63)显著高于农村高中生(M = 4.16, SD = 0.84), p < 0.001; 2010年队列中, 城市高中生的教育志向(M = 4.39, SD = 0.64)与农村高中生(M = 4.32, SD = 0.81)无显著差异, p = 0.659; 2018年队列中, 城市高中生的教育志向(M = 4.42, SD = 0.66)显著低于农村高中生(M = 4.54, SD = 0.54), p = 0.001。农村学生三个时间点的教育志向两两之间存在显著差异(ps < 0.001), 而城市学生三个时间点的教育志向之间无显著差异(ps > 0.057)。分别加入性别、年级、是否独生与年代、城乡的二元及三元交互项进行补充分析, 发现带有性别的二元或三元交互项均不显著(ps > 0.062), 年代×城乡×年级交互作用显著但效果量微弱, F(2, 30328) = 4.68, p = 0.009, η2p = 0.03。年代×城乡×是否独生交互作用显著, F(2, 30328) = 7.90, p < 0.001, η2p = 0.01。简单效应分析表明, 1999年农村非独生高中生的教育志向(M = 4.12, SD = 0.85)显著低于独生农村高中生(M = 4.28, SD = 0.82), p = 0.003, 其他各年代与城乡的组合中, 独生与非独生高中生在教育志向上无显著差异(ps > 0.100)。
图2
3.2 学业成绩、父母学历对教育效用和教育志向的影响
采用多元层次回归分析, 考察在学业成绩和父母学历对高中生教育效用、教育志向影响中年代和城乡的调节作用。对类别变量(如年代、城乡)进行效应编码, 对连续变量(如学业成绩、父母学历)进行标准化, 对年代×城乡×学业成绩、年代×城乡×父母学历的三元交互作用进行检验。
表3 教育效用的分层回归分析
| 变量 | 第一层 | 第二层 | 第三层 | 第四层 | ||||||||
|---|---|---|---|---|---|---|---|---|---|---|---|---|
| β | t | p | β | t | p | β | t | p | β | t | p | |
| 性别 | −0.08 | −4.45 | < 0.001 | −0.08 | −4.17 | < 0.001 | −0.08 | −4.11 | < 0.001 | −0.08 | −4.10 | 0.000 |
| 是否独生 | −0.02 | −0.82 | 0.411 | −0.01 | −0.46 | 0.645 | −0.01 | −0.47 | 0.637 | −0.01 | −0.45 | 0.653 |
| 年级 | −0.10 | −5.38 | < 0.001 | −0.10 | −5.38 | < 0.001 | −0.10 | −5.37 | < 0.001 | −0.10 | −5.35 | < 0.001 |
| 年代(2010) | −0.13 | −6.88 | < 0.001 | −0.13 | −6.87 | < 0.001 | −0.13 | −6.88 | < 0.001 | −0.13 | −6.87 | < 0.001 |
| 年代(2018) | −0.02 | −1.28 | 0.200 | −0.03 | −1.33 | 0.183 | −0.03 | −1.33 | 0.183 | −0.03 | −1.33 | 0.182 |
| 城乡 | −0.01 | −0.71 | 0.480 | −0.02 | −0.86 | 0.392 | −0.02 | −0.85 | 0.396 | −0.02 | −0.86 | 0.391 |
| 年代(2010)×城乡 | −0.01 | −0.42 | 0.675 | −0.01 | −0.41 | 0.682 | −0.01 | −0.41 | 0.684 | −0.01 | −0.41 | 0.685 |
| 年代(2018)×城乡 | 0.04 | 2.13 | 0.033 | 0.04 | 2.22 | 0.026 | 0.04 | 2.22 | 0.027 | 0.04 | 2.22 | 0.026 |
| 学业成绩 | 0.11 | 6.46 | < 0.001 | 0.11 | 5.95 | < 0.001 | 0.11 | 5.97 | < 0.001 | |||
| 父母学历 | 0.01 | 0.82 | 0.412 | 0.01 | 0.61 | 0.539 | 0.01 | 0.59 | 0.557 | |||
| 年代(2010)×学业成绩 | 0.04 | 2.28 | 0.023 | 0.04 | 2.25 | 0.025 | ||||||
| 年代(2018)×学业成绩 | −0.01 | −0.40 | 0.693 | −0.01 | −0.42 | 0.676 | ||||||
| 年代(2010)×父母学历 | 0.02 | 0.86 | 0.388 | 0.02 | 0.87 | 0.382 | ||||||
| 年代(2018)×父母学历 | 0.01 | 0.35 | 0.723 | 0.01 | 0.35 | 0.730 | ||||||
| 城乡×学业成绩 | 0.02 | 1.17 | 0.241 | 0.02 | 1.15 | 0.248 | ||||||
| 城乡×父母学历 | −0.03 | −1.62 | 0.105 | −0.03 | −1.37 | 0.172 | ||||||
| 年代(2010)×城乡×学业成绩 | 0.00 | 0.03 | 0.979 | |||||||||
| 年代(2018)×城乡×学业成绩 | 0.00 | 0.00 | 0.999 | |||||||||
| 年代(2010)×城乡×父母学历 | 0.00 | 0.00 | 0.997 | |||||||||
| 年代(2018)×城乡×父母学历 | −0.02 | −0.78 | 0.433 | |||||||||
| R2 | 0.037*** | 0.050*** | 0.053*** | 0.054*** | ||||||||
| ΔR2 | 0.037*** | 0.013*** | 0.003† | 0.001 | ||||||||
注:对年代进行效应编码, 1999年、2010年、2018年在年代(2010)上分别编码为−1、1、0, 在年代(2018)上分别编码为−1、0、1; 对城乡进行效应编码, 城市和农村分别编码为−1和1; 对性别、是否独生、年级分别进行虚拟编码, 女生、独生、高一编码为0, 男生、非独生、高三编码为1; ***p < 0.001, † p = 0.098。
图3
如表4所示, 学业成绩对教育志向的主效应显著, 正向预测高中生教育效用。年代×学业成绩的二元交互项显著, 进一步简单斜率检验表明, 2018年时学业成绩的简单斜率(Bsimple = 0.11, p < 0.001)显著小于1999年(Bsimple = 0.17, p < 0.001)和2010年(Bsimple = 0.17, p < 0.001), ps < 0.039。如图4所示, 相比于1999年和2010年, 2018年时学业成绩较差的高中生有更高的教育志向。父母学历的主效应显著, 正向预测高中生教育效用。年代×城乡×父母学历的三元交互作用显著, 进一步简单斜率检验表明, 对城市高中生而言, 2010年父母学历的简单斜率(Bsimple = 0.12, p < 0.001)显著大于1999年(Bsimple = 0.02, p = 0.638), p = 0.027。相对于1999年, 2010年时父母学历较低的高中生有更低的教育志向(见图5)。对农村高中生而言, 1999年父母学历的简单斜率(Bsimple = 0.13, p < 0.001)显著大于2010年父母学历的简单斜率(Bsimple = −0.02, p = 0.561), p = 0.001,也显著大于2018年父母学历的简单斜率(Bsimple = −0.06, p = 0.039), p < 0.001。如图5所示, 从1999年到2018年, 农村高中生父母学历对其教育志向的影响由正向变为负向, 2018年时, 父母学历越低的农村高中生具有更高的教育志向。
表4 教育志向的分层回归分析
| 变量 | 第一层 | 第二层 | 第三层 | 第四层 | ||||||||
|---|---|---|---|---|---|---|---|---|---|---|---|---|
| β | t | p | β | t | p | β | t | p | β | t | p | |
| 性别 | −0.14 | −7.42 | 0.000 | −0.13 | −6.94 | 0.000 | −0.12 | −6.54 | 0.000 | −0.12 | −6.53 | 0.000 |
| 独生 | −0.04 | −1.74 | 0.082 | −0.01 | −0.72 | 0.473 | −0.01 | −0.68 | 0.495 | −0.01 | −0.49 | 0.623 |
| 年级 | 0.04 | 1.98 | 0.048 | 0.04 | 2.15 | 0.032 | 0.04 | 2.09 | 0.037 | 0.04 | 2.06 | 0.039 |
| 年代(2010) | −0.04 | −1.98 | 0.048 | −0.04 | −1.91 | 0.056 | −0.04 | −1.91 | 0.057 | −0.04 | −1.89 | 0.059 |
| 年代(2018) | 0.11 | 5.55 | 0.000 | 0.10 | 5.56 | 0.000 | 0.10 | 5.59 | 0.000 | 0.10 | 5.58 | 0.000 |
| 城乡 | −0.05 | −2.33 | 0.020 | −0.06 | −2.81 | 0.005 | −0.06 | −2.84 | 0.005 | −0.06 | −2.93 | 0.003 |
| 年代(2010)×城乡 | 0.01 | 0.46 | 0.647 | 0.01 | 0.48 | 0.632 | 0.01 | 0.49 | 0.624 | 0.01 | 0.49 | 0.624 |
| 年代(2018)×城乡 | 0.11 | 5.37 | 0.000 | 0.11 | 5.70 | 0.000 | 0.11 | 5.74 | 0.000 | 0.11 | 5.78 | 0.000 |
| 学业成绩 | 0.20 | 11.74 | 0.000 | 0.21 | 11.80 | 0.000 | 0.21 | 11.99 | 0.000 | |||
| 父母学历 | 0.06 | 3.30 | 0.001 | 0.07 | 3.75 | 0.000 | 0.07 | 3.73 | 0.000 | |||
| 年代(2010) ×学业成绩 | 0.02 | 1.10 | 0.270 | 0.02 | 0.90 | 0.369 | ||||||
| 年代(2018) ×学业成绩 | −0.04 | −2.32 | 0.021 | −0.05 | −2.45 | 0.015 | ||||||
| 年代(2010) ×父母学历 | 0.00 | 0.13 | 0.895 | 0.01 | 0.30 | 0.767 | ||||||
| 年代(2018) ×父母学历 | −0.04 | −1.86 | 0.063 | −0.04 | −1.91 | 0.056 | ||||||
| 城乡×学业成绩 | 0.00 | 0.25 | 0.800 | 0.01 | 0.35 | 0.724 | ||||||
| 城乡×父母学历 | −0.06 | −3.37 | 0.001 | −0.04 | −2.24 | 0.025 | ||||||
| 年代(2010) ×城乡×学业成绩 | 0.00 | 0.22 | 0.830 | |||||||||
| 年代(2018) ×城乡×学业成绩 | 0.00 | −0.16 | 0.870 | |||||||||
| 年代(2010) ×城乡×父母学历 | −0.04 | −2.38 | 0.017 | |||||||||
| 年代(2018) ×城乡×父母学历 | −0.05 | −2.66 | 0.008 | |||||||||
| R2 | 0.045*** | 0.091*** | 0.097*** | 0.103*** | ||||||||
| ΔR2 | 0.045*** | 0.046*** | 0.006** | 0.006*** | ||||||||
注:对年代进行效应编码, 1999年、2010年、2018年在年代(2010)上分别编码为−1、1、0, 在年代(2018)上分别编码为−1、0、1; 对城乡进行效应编码, 城市和农村分别编码为−1和1; 对性别、是否独生 、年级分别进行虚拟编码, 女生 、独生、高一编码为0, 男生、非独生、高三编码为1; **p < 0.01, *** p < 0.001。
图4
图5
4 讨论
本研究采用时间滞后设计, 比较我国高中生教育效用和教育志向在1999年、2010年、2018年之间的年代差异和城乡差异, 检验了学业成绩和父母学历对高中生教育效用和教育志向的影响, 以及宏观的年代、城乡因素的调节作用。通过以上分析, 揭示了近20年来高中生教育价值认同随社会变迁的趋势和城乡特点, 以及在宏观与微观因素交互作用下高中生形成教育价值认同的机制。
本研究对教育效用的分析中未发现显著的年代×城乡交互作用, 即在教育效用上城乡青少年具有较一致的年代差异模式。与研究假设一致, 1999年至2010年, 高中生教育效用显著下降; 2010年至2018年教育效用一定程度上回升。这种年代变化特点与我国在1999年至2018年的经济结构和教育政策演变所导致的个体对受教育的成本−收益分析的变化有关, 例如受学费上涨、毕业生就业困难等因素影响, 2010年之前教育效用出现下降; 随着教育公平的推进和城乡居民收入提升, 教育成本相对降低, 且在知识密集型产业兴起和促进大学生就业的政策影响下下降趋势停止并回升。在个体水平上, 以教育效用为结果变量的回归分析显示, 高中生的教育效用与学业成绩有显著的正向关系, 且未发现城乡差异。学业成绩较好的高中生更有可能通过高考进入大学学习、会有更长的受教育年限, 而学业成绩较差的学生未来接受高等教育、尤其是优质高等教育的可能性较小。为了避免认知失调, 学业成绩较好和较差的高中生会相应分别做出“上学有用”和“上学无用”的评价。本研究还发现年代因素调节学业成绩对教育效用的影响, 相比于1999年和2018年, 在2010年时学业成绩差的高中生的教育效用更低。这可能与起始于2008年的全球金融危机造成的就业困难有关(丁守海, 2009), 使学业成绩差的高中生对教育效用有更低评价。本研究中高中生教育效用受父母学历影响不显著, 这表明在排除宏观的年代、城乡因素及个体学业成绩等因素影响后, 高中生对受教育的效用认同不受家庭文化环境影响。
城市和农村高中生在教育志向上具有明显不同的年代变化特点。具体而言, 1999年时农村高中生的教育志向落后于城市学生, 2010年时与城市学生持平, 2018年时反超城市学生; 反观城市高中生, 在三个时间点上教育志向水平无显著变化。这一研究发现符合本研究关于教育志向的假设, 即农村高中生的教育志向相对于城市高中生有明显增长。由于城市地区具有经济社会发展优势(吴愈晓, 2013), 而教育改革政策侧重于农村, 城市高中生在教育机会上的变化小于农村学生, 可能因此城市高中生的教育志向在1999年至2018年间无显著变化。结合城乡高中生的教育效用始终持平这一研究结果, 1999年时农村高中生教育志向较低的原因可能并非低估受教育的价值, 而是受限于城乡之间在高等教育机会和经济发展水平上的不平衡。随着我国经济社会的整体发展、城镇化进程的推进、针对教育公平的改革, 相较于以前, 农村地区高中生可获得更丰富的高等教育资源, 因此教育志向得以释放。加入是否独生因素后进行的补充分析结果也可印证农村地区高中生教育资源的改善, 研究发现独生与非独生高中生教育志向的差异仅出现在1999年农村群体中(非独生显著低于独生), 表明在2010年和2018年时, 农村高中生家庭中的兄弟姐妹对于资源的稀释作用变得不再明显(吴愈晓, 2013)。
回归分析进一步揭示了微观的个体和家庭因素如何影响高中生的教育志向, 以及宏观和微观因素之间存在怎样的交互作用。城乡高中生学业成绩与教育志向间存在正向关系, 表明高中生远大教育志向的形成需要学业能力支撑。本研究发现2018年时学业成绩较差的学生的教育志向相对于1999年和2010年有提升。在我国高等教育扩张政策影响下, 高中毕业生接受高等教育的机会显著增加, 普通高中毕业生人数与同年普通本专科招生人数比例从1999年的1:0.59变化为2010年的1:0.83, 再到2018年的1:1.02(中华人民共和国教育部, 1999, 2010, 2018)。我国也呈现与英国类似的现象(Schoon, 2010), 在政策长期影响下高中毕业生接受高等教育渐渐成为社会常态。这种情况下, 成绩较差学生接受高等教育的信心增强, 而不是像高等教育资源紧缺年代, 未来教育志向更多依赖于个人的学习成绩。学业成绩的效应未表现出城乡差异, 但在父母学历的效应上, 城市和农村高中生分别展现出不同的年代差异模式。对城市高中生而言, 2010年、2018年时父母学历对教育志向有正向影响。但对农村高中生而言, 自1999年至2018年, 父母学历对教育志向的影响由正向演变为负向, 1999年时低父母学历的农村高中生具有所有“年代×城乡×父母学历”组合中最低的教育志向, 而在2018年时低父母学历农村高中生的教育志向达到所有组合中的最高水平(见图5)。这表明, 宏观社会历史背景会改变微观水平变量对个体发展的意义。随着我国社会变迁, 低父母学历这一不利因素对高中生教育志向的影响由“枷锁效应”过渡为“鞭策效应” (童馨乐 等, 2019)。谢爱磊(2017)曾在2008年针对我国农村底层居民对子女教育期望较低的现象进行田野调查, 将其原因归结为“读书无望”, 即农村底层居民虽然能充分认识到受教育的效用和价值, 但由于经济收入和学历较低, 受限于匮乏的经济和文化资源无力进行教育投资。低父母学历因此成为“枷锁”, 制约子女的教育志向(童馨乐 等, 2019)。枷锁效应的产生是社会结构性因素内化为个体倾向的结果(谢爱磊, 2017), 而枷锁效应的解除、甚至被鞭策效应所取代的原因也在于社会结构性因素的改变。随着社会变迁, 农村居民经济水平改善、弱势阶层受教育机会提升之后, 低父母学历可能转化成为有“寒门特征”的文化资本, 使青少年在改变自身命运和家庭境况、实现阶层向上流动的驱力作用下产生更远大的教育志向(童馨乐 等, 2019; 余秀兰, 韩燕, 2018)。
本研究通过时间滞后设计对过去20年我国城乡高中生教育效用和教育志向进行定量描述, 并揭示了宏观社会历史因素与微观家庭个体因素的交互作用。本研究以实证证据表明, 近20年来我国城乡高中生的教育效用和教育志向有明显起伏变化, 且能以我国社会变迁中经济结构、教育政策的演化以及城乡差异加以解释。以代理论(theory of generation; Mannheim, 1952)来看, 不同年代的高中生的年龄、身份相同, 但由于经历了不同的社会历史事件, 可能已形成具有不同价值观的现实代(generation as actuality); 同时受城乡二元结构影响, 同一社会历史事件对我国城乡高中生有不同的意义和影响, 从而城市和农村高中生构成了两个代单元(generation unit)。生命历程理论认为个体发展结果是宏观和微观因素交互作用的结果, 个体发展受宏观因素塑造, 但也在历史和社会因素所限定的结构中自主构建自身生命历程。与理论一致, 本研究发现在宏观因素之外, 微观的学业成绩和父母学历对高中生教育效用和教育志向有解释作用, 且在不同年代、城乡背景下的作用机制不同, 例如低父母学历对农村高中生教育志向的影响机制由枷锁效应转变为鞭策效应。这表明, 社会变迁不仅引起了变量水平上的变化, 也引起了变量间关系和机制的动态变化。
社会变迁是宏观层面社会现象, 教育效用和教育志向属于微观层面个体心理, 揭示个体心理随我国社会变迁发生的动态变化具有心理学和社会学的双重意义。心理学方面, 心理学家致力于揭示心理与行为个体差异及其发展变化影响因素和机制。历史、文化、政策、经济结构等是人类发展的生态系统中不可或缺的宏观因素(Bronfenbrenner, 1979), 而多数心理学研究致力于揭示微观机制, 缺乏社会历史宏观视野(黄梓航 等, 2021)。当今世界正处在百年未有之大变局中, 意味着世界各地经济、政治、文化、社会等宏观方面会发生较频繁且剧烈的变化。引入社会历史宏观视角进行描述性和解释性的心理学研究, 将拓宽心理学研究的广度和深度, 有助于产生具有重要学术价值和重大战略意义的研究发现。从社会学角度来说, 对微观层面个体心理的研究可以小见大。例如, 本研究对城乡高中生教育价值判断的比较表明过去20年间高中生群体中可能出现了不同的现实代和代单元。在社会变迁的背景下, 我国社会可能频繁出现不同的代, “代”可能是探讨我国当下社会心理改变、群体心理差异等诸多问题的重要视角。此外, 微观层面人的心理指标可以对宏观层面经济社会发展指标形成有效补充, 从而更全面准确地反映社会变迁动态, 为社会治理提供反馈和指导。例如本研究结果反映了我国经济社会发展的某些方面的成效, 农村高中生教育志向的快速增加可能反映了我国推进教育公平收获了实效, 鞭策效应的出现预示宏观层面上农村底层居民教育代际流动性的提高。
在阐释和应用本研究发现时, 需注意以下几点。第一, 本研究取样自山东省城市和农村地区。山东省在地理位置、地貌、政区人口−面积比例、经济结构等方面与中国全域有诸多相似之处, 被称为“中国的一个缩影”。我国各地域社会变迁的步调不尽相同, 有不同的社会文化特点和区域性经济模式与教育政策。然而, 过去近20年来经济结构和教育政策演变是全国趋势, 且城乡二元结构在我国普遍存在, 在一些影响高中生对教育价值认同的宏观因素(如城镇化、教育成本、教育机会、就业)上具有一致的演化规律和城乡差异特点, 因此本研究结果在全国范围内仍有一定的适用性。第二, 高中生教育效用和教育志向可能也受其他一些本研究未涉及的重要因素影响。例如, 丰富的家庭社会资本可为青少年发展带来不可忽视的助力(如父母可通过社会网络为子女带来工作机会、促进向上社会流动), 从而可能减弱青少年通过受教育增强自身人力资本的动机(刘浩, 2019; 童馨乐 等, 2019)。而随着人才评价与选拔机制的演化, 社会资本的效应也可能随社会变迁发生变化、产生另一种宏观与微观因素间的交互作用, 未来研究可参考本研究思路进行探讨。第三, 本研究仅探讨了普通教育序列中高中生对学历教育的效用判断和教育志向。随着我国经济由高速增长转向高质量发展, 劳动力市场对高技能人才的需求日益增加。职业教育发挥着缓解就业压力、解决高技能人才短缺的重要作用, 能为学生带来丰富的就业机会和经济收益。因此, 未来研究可涵盖职业教育, 从而更全面地反映我国当前教育体制全貌。第四, 未来研究在探讨社会变迁背景下社会心理变化及其机制时, 可根据生命历程理论(Elder, 1998)区分年龄、时期、队列因素的影响, 根据生态系统理论(Bronfenbrenner, 1979)考虑宏观因素怎样层层递进地通过社会、社区、学校家庭环境影响到个体心理, 使宏观因素的系统性差异体现在个体心理上。为达成此目标, 还需要先进的研究方法为支撑, 如使用聚合交叉设计获得不同时期、队列、年龄个体的数据, 利用分层线性模型分离各类因素的效应、检验不同层次因素的交互作用等(王俊秀, 刘洋洋, 2023)。
5 结论
本研究得到以下主要结论:(1)自1999年至2018年, 城乡高中生教育效用无显著差异, 遵循先下降、后回升的变化趋势; (2)在教育志向上, 城市高中生无明显变化, 而农村高中生教育志向上升并超越城市高中生; (3)学业成绩对高中生教育效用和教育志向有正向影响且受年代因素调节, 相比于其他年份2010年时成绩较差学生的教育效用更低、2018年时成绩较差学生的教育志向更高; (4)父母学历对高中生教育志向的影响受年代和城乡因素调节, 对农村高中生教育志向的影响方向发生改变, 由枷锁效应转向鞭策效应。
参考文献
Explaining educational differentials: Towards a formal rational action theory
The psychological change of the Chinese people over the past half century: A literature review
DOI:10.3724/SP.J.1042.2020.01599
[本文引用: 1]
China has undergone unprecedented societal transformations over the past decades. A large body of research has examined the impacts of the rapid societal change on Chinese culture and psychology, including values, personality, self, emotion, motivation, parenting, trust, Guanxi, happiness, mental health, and other social attitudes and behaviors. On the one hand, individualism in general was on the rise. On the other hand, while collectivism in general is declining, as manifested in diverse values, self-construals, personalities, parenting styles and social attitudes, some traditional values persist (e.g. filial piety). Some specific findings include that 1) general trust declined; 2) negative emotions, motivation to avoid failure, and the importance of Guanxi were on the rise; 3) mental health overall was on the rise but it was getting worse for some specific groups (e.g. students in elementary and middle schools); 4) subjective well-being was decreasing in 1990s and started to rise recently. Many changes, however, varied across time and people with different demographic and social backgrounds, suggesting co-existence of multi-cultures. These findings have important theoretical and practical implications. Future study needs to extend the current research scope and examine the causes, outcomes, and mechanisms of the changes.
半个多世纪来中国人的心理与行为变化——心理学视野下的研究
DOI:10.3724/SP.J.1042.2020.01599
[本文引用: 1]
半个多世纪以来, 史无前例的快速社会变迁对中国文化和中国人的心理与行为产生了广泛而深远的影响。现有研究探讨了中国人在十多个方面的心理和行为变化, 包括文化价值、人格特征、自我建构、人际信任、幸福感、情绪、动机、关系、心理健康以及其他社会态度和行为等。总体上, 这些研究勾画出了半个世纪以来中国人心理变化的总体倾向:(1)与现代社会相适应的个体主义价值和心理行为日益盛行; (2)传统社会所强调的集体主义价值虽日渐衰落, 但其部分仍在当代社会主流价值中占有一席之地; (3)多元文化共存将是当下和未来中国社会的重要特征。一些具体的变化还包括:中国人的一般信任在下降、幸福感先下降但近年来有上升的迹象、心理健康总体水平上升但是不同社会群体升降不一致、总体的负性情绪在增加、性观念更为开放和包容等。未来的研究应在广度(内容、领域)和深度(原因、机制和过程)上对现有研究进行拓展, 努力建构能同时解释心理和行为变化一般规律及中国人的变化独特性的理论。
Development strategy, urbanization and the urban-rural income disparity in China
发展战略、城市化与中国城乡收入差距
Sensitivity of goodness of fit indexes to lack of measurement invariance
Educational aspirations and expectations of adolescents in rural China: Determinants, mental health, and academic outcomes
How flexible is employment in China? - Also on the lagged impact of the financial crisis on employment
中国就业弹性究竟有多大?——兼论金融危机对就业的滞后冲击
Expectancies, values, and academic behaviors
In
The life course as developmental theory
The pioneering longitudinal studies of child development (all launched in the 1920s and 1930s) were extended well beyond childhood. Indeed, they eventually followed their young study members up to the middle years and later life. In doing so, they generated issues that could not be addressed satisfactorily by available theories. These include the recognition that individual lives are influenced by their ever-changing historical context, that the study of human lives calls for new ways of thinking about their pattern and dynamic, and that concepts of human development should apply to processes across the life span. Life course theory has evolved since the 1960s through programmatic efforts to address such issues.
The academic achievement of adolescents from immigrant families: The role of family background, attitudes, and behavior
The goal of this study was to determine the relative impact of family background, parental attitudes, peer support, and adolescents' own attitudes and behaviors on the academic achievement of students from immigrant families. Approximately 1,100 adolescents with Latino, East Asian, Filipino, and European backgrounds reported on their own academic attitudes and behaviors as well as those of their parents and peers. In addition, students' course grades were obtained from their official school records. Results indicated that first and second generation students received higher grades in mathematics and English than their peers from native families. Only a small portion of their success could be attributed to their socioeconomic background; a more significant correlate of their achievement was a strong emphasis on education that was shared by the students, their parents, and their peers. These demographic and psychosocial factors were also important in understanding the variation in academic performance among the immigrant students themselves.
Attitudes toward family obligation among adolescents in contemporary urban and rural China
DOI:10.1111/j.1467-8624.2004.00662.x
PMID:15015683
[本文引用: 3]
A sense of obligation to support, assist, and respect the family was examined among approximately 700 urban and rural 10th- (M = 16.6 years) and 12th- (M = 18.9 years) grade students in the People's Republic of China. Urban male adolescents reported a weaker sense of family obligation than did rural male adolescents and both urban and rural female adolescents. Only children did not differ from those with siblings in terms of their attitudes toward family support and respect. A sense of family obligation was generally associated with more positive family relationships and a higher level of academic motivation among Chinese adolescents. Discussion focuses on how the shift to a market economy may influence adolescents' identification with the family in contemporary China.
Cultural and psychological changes during the social transformation in China: Sociological research and its enlightenments to psychologists
中国社会转型过程中的心理变化: 社会学视角的研究及其对心理学家的启示
DOI:10.3724/SP.J.1042.2021.02246
[本文引用: 1]
社会心理学有着社会学和心理学两种取向。虽然多数时候相对独立发展, 但两者都对现代化带来的社会转型和变迁非常关注。社会学家从社会或社会结构的变化和人的变化两个方面对社会转型进行了大量研究, 前者主要涉及城市(镇)化、社会阶层、社会流动性、家庭结构等, 后者主要涉及中国体验、社会心态、群体心理、组织心理等。总体上, 现有研究显示, 现代社会个体主义上升, 同时许多传统集体主义价值在日渐式微。和心理学取向的研究相比, 社会学取向的研究具有这些特点:倾向于采用本位概念、质性研究方法, 特别关注中观群体心理, 关注政治和政策影响, 更具历史宏观视野等, 这些都是心理学取向的社会心理学家需要学习和借鉴的地方。期待两种取向的社会心理学家在未来的研究中能有更多的合作, 共同促进对转型过程中的中国和中国人的理解。
Students’ aspirations, expectations and school achievement: What really matters?
The development of educational aspirations and expectations from adolescence to young adulthood: A longitudinal study of Mexican-origin youth
Educational aspiration, academic engagement and academic achievement
教育期望、学习投入与学业成就
Family SES and adolescent educational expectation: Mediating role of parental involvement
家庭社会经济地位与青少年教育期望:父母参与的中介作用
The structurization of life course: A study of the dualistic path of rural youth urbanization
生命历程的结构化:乡村青年城镇化的二元路径研究
Educational expansion and intergenerational educational mobility
教育扩张与教育的代际流动性
Discussions on the policies for the high-quality intergenerational income mobility facilitated by the development of higher education
高等教育发展促进高质量收入代际流动的政策探讨
The problem of generations
In
Education expansion and intergenerational education mobility
教育扩张与城乡居民家庭教育代际流动性
Planning for the future: Changing education expectations in three British cohorts
A socio-ecological model of agency: The role of structure and agency in shaping education and employment transitions in England
The change of Chinese adolescents’ values (1987-2015)
中国青少年价值观的变迁(1987-2015)
A study on the policy system of high quality and full employment for college students
大学生高质量充分就业政策体系研究
Why is it difficult for children from poor families to achieve success: An explanation from the perspective of family education concepts
寒门为何难出贵子? 基于教育观视角的解释
Equalitarianism and wealth in China: Changes in perceptions of fairness
DOI:10.3724/SP.J.1041.2023.00406
[本文引用: 1]
<p id="p00005">The eradication of absolute poverty is an important measure of progress in achieving social equality in China, where common prosperity is the main social goal. However, since the founding of modern-day China, it has not only changed from poverty to wealth, but also from addressing imbalances between the rich and poor to an uneven distribution of wealth. The great changes seen over the past century in China have impacted people who have adhered to the idea of equality between the rich and the poor for thousands of years, resulting in a psychological crisis of fairness. A sense of fairness is a subjective response to social equality, which is bound to fluctuate with changes in the distribution of wealth. Therefore, combined with dramatic social changes in recent decades, this paper discusses changes in residents’ sense of fairness and explores the path to resolving this equity crisis.</p> <p>Based on the data of the Comprehensive Survey of Chinese Society (CGSS) conducted by Renmin University in China and the survey of social conditions conducted by the Chinese Academy of Social Sciences (CSS) from 2006 to 2017, this study examines cross-sectional data spanning ten years. The hierarchical age-period-cohort model (HAPC) is used to analyze trends in changes in Chinese people’s sense of fairness in three time dimensions: age, period, and birth cohort. </p> <p> The study found that sense of fairness has a significant time effect in China. (1) The sense of fairness among middle-aged adults was lower than among younger and older adults. (2) The sense of fairness was high in 2008, trended lower from 2010 to 2013, and started to rise again after 2015. (3) Before the founding of the People’s Republic of China, the sense of fairness of the birth cohort was low. The sense of fairness of the birth cohort was high in the early days of the founding of the People’s Republic of China, but it has been lower since the birth cohort of 1953. In the early 1960s, the sense of fairness in the birth cohort rebounded, but after that, it continued to decline. The sense of fairness was the lowest after 1980, but there has been a sharp upward trend since 1990. (4) There are significant differences in perceptions of fairness between urban and rural areas and level of education. </p> <p>This study found that although economic growth has been significant, wealth distribution has not been equitable, and that economic growth alone cannot improve social equity. These two variables jointly affect people’s sense of fairness. Under certain conditions, people do not suffer from scarcity but suffer from inequality. Addressing scarcity is the basis for improving the sense of social fairness. If the distribution system is unjust, people’s sense of fairness will be even lower. After eradicating poverty, a wealth distribution system would have obvious benefits for improving the sense of fairness. This conclusion is instructive for the implementation of China’s common prosperity policy.</p>
“均”与“寡”阶段性变动下中国居民公平感的变迁
DOI:10.3724/SP.J.1041.2023.00406
[本文引用: 1]
利用中国综合社会调查和中国社会状况综合调查重复截面数据, 通过年龄−时期−队列模型对居民公平感的时代变化进行分析。研究发现公平感在年龄上呈“J”型趋势; 从时期效应看, 2008年公平感较高, 2010~2013年在低谷徘徊, 2015年以后又开始回升; 从队列视角看, 建国前出生队列公平感偏低, 建国后初期的队列相对较高, “50”后有所下滑, 从“60”后开始公平感持续走低, 到“80”后跌入低谷, 但“90”后又开始升高。从1949年前后“寡且不均”到建国初期阶段的“寡且均”, 再到改革开放40年快速经济增长下“不寡但不均”的社会变迁过程影响了居民的公平感。
Educational opportunities of Chinese rural and urban residents in 1978-2008: Inequality and evolution
中国城乡居民的教育机会不平等及其演变(1978-2008)
“Useless” or “Hopeless”? An ethnographic enquiry of values held by the rural underclass toward schooling
“读书无用”还是“读书无望”——对农村底层居民教育观念的再认识
Causes to the mistaken idea of education for nothing
“读书无用论”何以会产生?——晚清以来出现的四次“读书无用论”评述
How to cultivate successful people from poor families—On the breakthrough of class restrictions from the cultural capital perspective
寒门如何出“贵子”——基于文化资本视角的阶层突破
The roles of educational values and Chinese cultural beliefs about adversity in the relationship between family financial strain and academic achievement among middle school students
教育价值观和逆境信念在家庭经济压力与初中生学业成就之间的作用
/
| 〈 |
|
〉 |
