有中介的调节模型的拓展及其效应量
刘红云, 袁克海, 甘凯宇

Two-level mediated moderation models with single level data
and new measures of effect sizes
LIU Hongyun, YUAN Ke-Hai, GAN Kaiyu
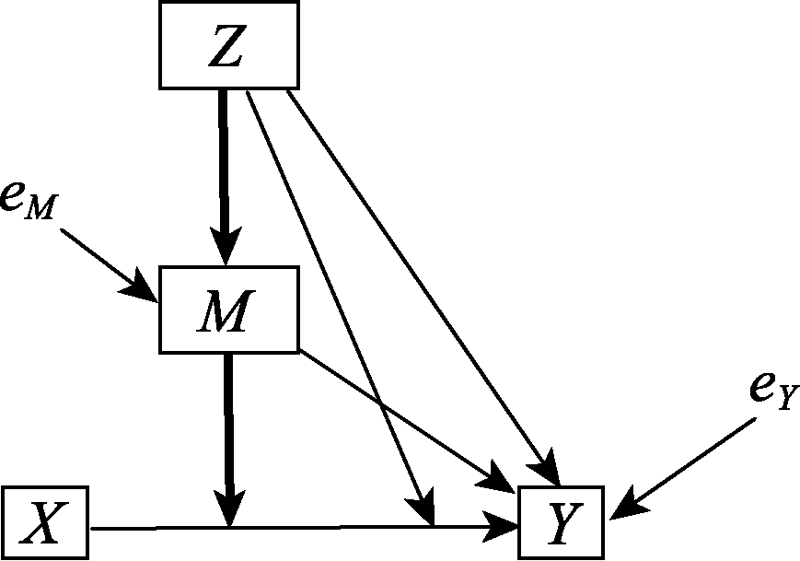
图1 有中介的调节效应的概念模型(粗体线表示有中介的调节效应)