计算机动态测验中问题解决过程策略的分析:多水平混合IRT模型的拓展与应用 |
| 李美娟, 刘玥, 刘红云 |
|
Analysis of the Problem-solving strategies in computer-based dynamic assessment: The extension and application of multilevel mixture IRT model |
| LI Meijuan, LIU Yue, LIU Hongyun |
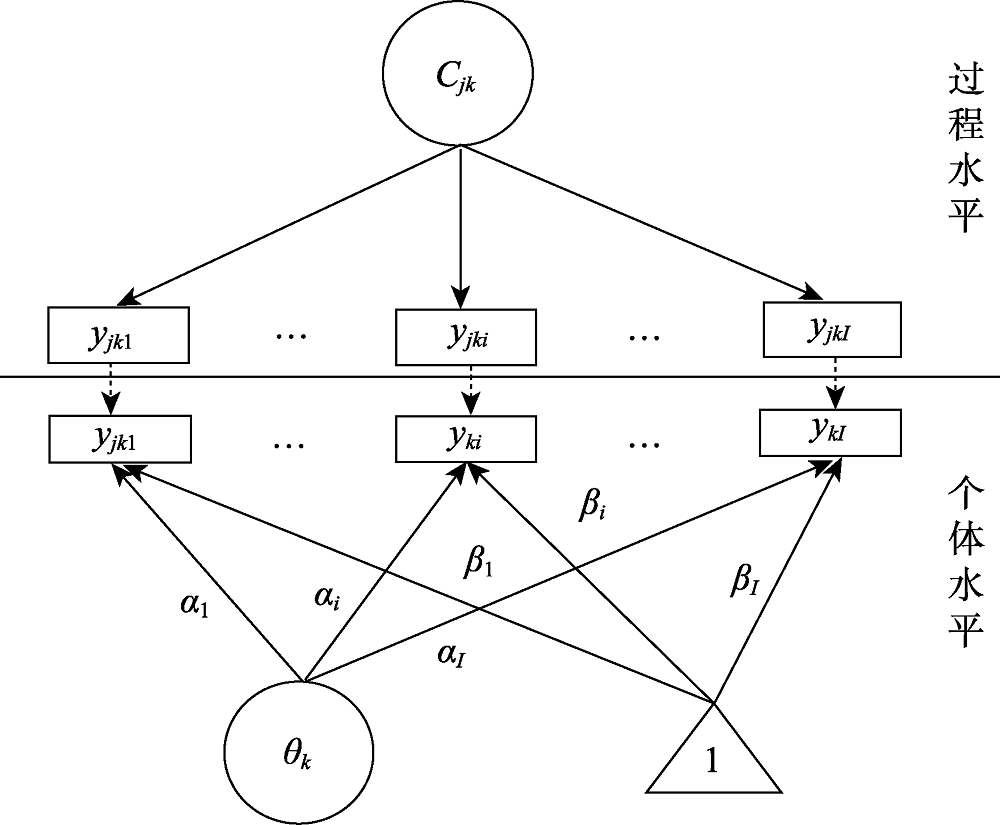
| 图1 本研究使用的MMixIRT模型示意图 |
|