回归混合模型:方法进展与软件实现
王孟成, 毕向阳

Regression mixture modeling: Advances in method and its implementation
WANG Meng-Cheng, BI Xiangyang
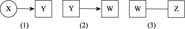
图3 简单三步法的分析流程